Images_Index/WTN_HeaderX.png

Images_Learn/10_WC_1965_Glivi_Pure_Mathematics.jpg
WC Glivi: Pure Mathematics
Images_Index/WTN_Icon_edited.png

Education 1965 Shell Pure Maths

I have included copies of my higher education notes on this website, that amount to ten years of my life approximately, for the following reasons. They prove that in a world of over population and hence competition, incomplete and out of date courses, the inablity to find out where the job vacancies are and then know how to apply for them, plus too much automation, education beyond the three R's is for most people a complete waste of time, money and effort. Only a technocracy, that is government by highly intelligent, qualified and trained technocrats, supported by artificial intelligence, can put this matter right, providing purpose, an identity, mental well being and hence loyalty to the state. Such a system can only come about through a technocracy. A world technocracy can lead to greater benefits, the obvious one being the directing of finance for war towards finance for scientific research.



  1. Education 1965 Shell Pure Maths


  2. Index

    Page No. Subject
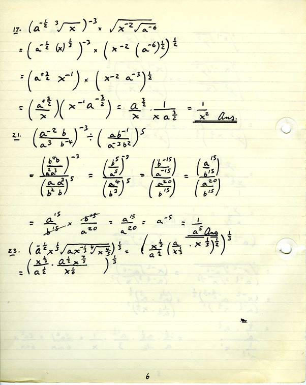
    1 Indices
    8 Trigonometry
    12 Trigonometry Ratios & Identities
    23 Sine, Cosine & Tangent Curves
    27 Simultanious equations
    32 Quadratics
    35 Factorisation
    35 Completing the square
    41 Horizontal sextant angles
    44 Ratio
    47 Proportion
    48 Variation
    52 Sector
    53 Pye, radian
    54 Circular measure
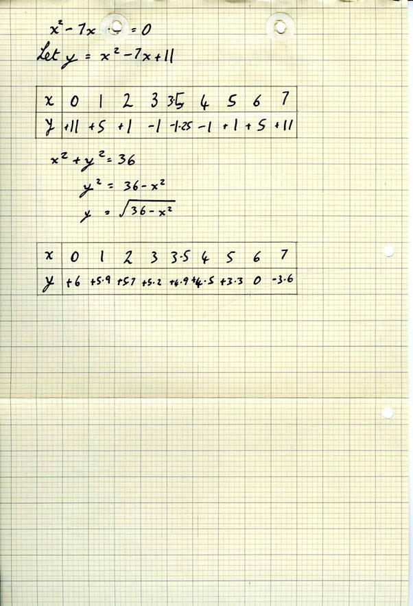
    58 Graphs
    66 Quadratic theory
    75 Properties of a circle
    80 Surds


  3. Education 1965 Shell Pure Maths Notes



  4. Images_Ed_1965_Shell_Pure_Maths/image002.jpg
    1965 Shell Pure Maths Page 1


    Images_Ed_1965_Shell_Pure_Maths/image004.jpg
    1965 Shell Pure Maths Page 2


    Images_Ed_1965_Shell_Pure_Maths/image006.jpg
    1965 Shell Pure Maths Page 3


    Images_Ed_1965_Shell_Pure_Maths/image008.jpg
    1965 Shell Pure Maths Page 4


    Images_Ed_1965_Shell_Pure_Maths/image010.jpg
    1965 Shell Pure Maths Page 5


    Images_Ed_1965_Shell_Pure_Maths/image012.jpg
    1965 Shell Pure Maths Page 6


    Images_Ed_1965_Shell_Pure_Maths/image014.jpg
    1965 Shell Pure Maths Page 7


    Images_Ed_1965_Shell_Pure_Maths/image016.jpg
    1965 Shell Pure Maths Page 8


    Images_Ed_1965_Shell_Pure_Maths/image018.jpg
    1965 Shell Pure Maths Page 9


    Images_Ed_1965_Shell_Pure_Maths/image020.jpg
    1965 Shell Pure Maths Page 10


    Images_Ed_1965_Shell_Pure_Maths/image022.jpg
    1965 Shell Pure Maths Page 11


    Images_Ed_1965_Shell_Pure_Maths/image024.jpg
    1965 Shell Pure Maths Page 12


    Images_Ed_1965_Shell_Pure_Maths/image026.jpg
    1965 Shell Pure Maths Page 13


    Images_Ed_1965_Shell_Pure_Maths/image028.jpg
    1965 Shell Pure Maths Page 14


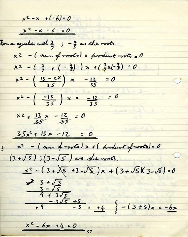
    Images_Ed_1965_Shell_Pure_Maths/image030.jpg
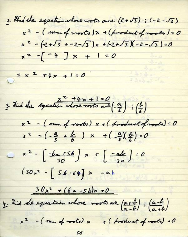
    1965 Shell Pure Maths Page 15


    Images_Ed_1965_Shell_Pure_Maths/image032.jpg
    1965 Shell Pure Maths Page 16


    Images_Ed_1965_Shell_Pure_Maths/image034.jpg
    1965 Shell Pure Maths Page 17


    Images_Ed_1965_Shell_Pure_Maths/image036.jpg
    1965 Shell Pure Maths Page 18


    Images_Ed_1965_Shell_Pure_Maths/image038.jpg
    1965 Shell Pure Maths Page 19


    Images_Ed_1965_Shell_Pure_Maths/image040.jpg
    1965 Shell Pure Maths Page 20


    Images_Ed_1965_Shell_Pure_Maths/image042.jpg
    1965 Shell Pure Maths Page 21


    Images_Ed_1965_Shell_Pure_Maths/image044.jpg
    1965 Shell Pure Maths Page 22


    Images_Ed_1965_Shell_Pure_Maths/image046.jpg
    1965 Shell Pure Maths Page 23


    Images_Ed_1965_Shell_Pure_Maths/image048.jpg
    1965 Shell Pure Maths Page 24


    Images_Ed_1965_Shell_Pure_Maths/image050.jpg
    1965 Shell Pure Maths Page 25


    Images_Ed_1965_Shell_Pure_Maths/image052.jpg
    1965 Shell Pure Maths Page 26


    Images_Ed_1965_Shell_Pure_Maths/image054.jpg
    1965 Shell Pure Maths Page 27


    Images_Ed_1965_Shell_Pure_Maths/image056.jpg
    1965 Shell Pure Maths Page 28


    Images_Ed_1965_Shell_Pure_Maths/image058.jpg
    1965 Shell Pure Maths Page 29


    Images_Ed_1965_Shell_Pure_Maths/image060.jpg
    1965 Shell Pure Maths Page 30


    Images_Ed_1965_Shell_Pure_Maths/image062.jpg
    1965 Shell Pure Maths Page 31


    Images_Ed_1965_Shell_Pure_Maths/image064.jpg
    1965 Shell Pure Maths Page 32


    Images_Ed_1965_Shell_Pure_Maths/image066.jpg
    1965 Shell Pure Maths Page 33


    Images_Ed_1965_Shell_Pure_Maths/image068.jpg
    1965 Shell Pure Maths Page 34


    Images_Ed_1965_Shell_Pure_Maths/image070.jpg
    1965 Shell Pure Maths Page 35


    Images_Ed_1965_Shell_Pure_Maths/image072.jpg
    1965 Shell Pure Maths Page 36


    Images_Ed_1965_Shell_Pure_Maths/image074.jpg
    1965 Shell Pure Maths Page 37


    Images_Ed_1965_Shell_Pure_Maths/image076.jpg
    1965 Shell Pure Maths Page 38


    Images_Ed_1965_Shell_Pure_Maths/image078.jpg
    1965 Shell Pure Maths Page 39


    Images_Ed_1965_Shell_Pure_Maths/image080.jpg
    1965 Shell Pure Maths Page 40


    Images_Ed_1965_Shell_Pure_Maths/image082.jpg
    1965 Shell Pure Maths Page 41


    Images_Ed_1965_Shell_Pure_Maths/image084.jpg
    1965 Shell Pure Maths Page 42


    Images_Ed_1965_Shell_Pure_Maths/image086.jpg
    1965 Shell Pure Maths Page 43


    Images_Ed_1965_Shell_Pure_Maths/image088.jpg
    1965 Shell Pure Maths Page 44


    Images_Ed_1965_Shell_Pure_Maths/image090.jpg
    1965 Shell Pure Maths Page 45


    Images_Ed_1965_Shell_Pure_Maths/image092.jpg
    1965 Shell Pure Maths Page 46


    Images_Ed_1965_Shell_Pure_Maths/image094.jpg
    1965 Shell Pure Maths Page 47


    Images_Ed_1965_Shell_Pure_Maths/image096.jpg
    1965 Shell Pure Maths Page 48


    Images_Ed_1965_Shell_Pure_Maths/image098.jpg
    1965 Shell Pure Maths Page 49


    Images_Ed_1965_Shell_Pure_Maths/image100.jpg
    1965 Shell Pure Maths Page 50


    Images_Ed_1965_Shell_Pure_Maths/image102.jpg
    1965 Shell Pure Maths Page 51


    Images_Ed_1965_Shell_Pure_Maths/image104.jpg
    1965 Shell Pure Maths Page 52


    Images_Ed_1965_Shell_Pure_Maths/image106.jpg
    1965 Shell Pure Maths Page 53


    Images_Ed_1965_Shell_Pure_Maths/image108.jpg
    1965 Shell Pure Maths Page 54


    Images_Ed_1965_Shell_Pure_Maths/image110.jpg
    1965 Shell Pure Maths Page 55


    Images_Ed_1965_Shell_Pure_Maths/image112.jpg
    1965 Shell Pure Maths Page 56


    Images_Ed_1965_Shell_Pure_Maths/image114.jpg
    1965 Shell Pure Maths Page 57


    Images_Ed_1965_Shell_Pure_Maths/image116.jpg
    1965 Shell Pure Maths Page 58


    Images_Ed_1965_Shell_Pure_Maths/image118.jpg
    1965 Shell Pure Maths Page 59


    Images_Ed_1965_Shell_Pure_Maths/image120.jpg
    1965 Shell Pure Maths Page 60


    Images_Ed_1965_Shell_Pure_Maths/image122.jpg
    1965 Shell Pure Maths Page 61


    Images_Ed_1965_Shell_Pure_Maths/image124.jpg
    1965 Shell Pure Maths Page 62


    Images_Ed_1965_Shell_Pure_Maths/image126.jpg
    1965 Shell Pure Maths Page 63


    Images_Ed_1965_Shell_Pure_Maths/image128.jpg
    1965 Shell Pure Maths Page 64


    Images_Ed_1965_Shell_Pure_Maths/image130.jpg
    1965 Shell Pure Maths Page 65


    Images_Ed_1965_Shell_Pure_Maths/image132.jpg
    1965 Shell Pure Maths Page 66


    Images_Ed_1965_Shell_Pure_Maths/image134.jpg
    1965 Shell Pure Maths Page 67


    Images_Ed_1965_Shell_Pure_Maths/image136.jpg
    1965 Shell Pure Maths Page 68


    Images_Ed_1965_Shell_Pure_Maths/image138.jpg
    1965 Shell Pure Maths Page 69


    Images_Ed_1965_Shell_Pure_Maths/image140.jpg
    1965 Shell Pure Maths Page 70


    Images_Ed_1965_Shell_Pure_Maths/image142.jpg
    1965 Shell Pure Maths Page 71


    Images_Ed_1965_Shell_Pure_Maths/image144.jpg
    1965 Shell Pure Maths Page 72


    Images_Ed_1965_Shell_Pure_Maths/image146.jpg
    1965 Shell Pure Maths Page 73


    Images_Ed_1965_Shell_Pure_Maths/image148.jpg
    1965 Shell Pure Maths Page 74


    Images_Ed_1965_Shell_Pure_Maths/image150.jpg
    1965 Shell Pure Maths Page 75


    Images_Ed_1965_Shell_Pure_Maths/image152.jpg
    1965 Shell Pure Maths Page 76


    Images_Ed_1965_Shell_Pure_Maths/image154.jpg
    1965 Shell Pure Maths Page 77


    Images_Ed_1965_Shell_Pure_Maths/image156.jpg
    1965 Shell Pure Maths Page 78


    Images_Ed_1965_Shell_Pure_Maths/image158.jpg
    1965 Shell Pure Maths Page 79


    Images_Ed_1965_Shell_Pure_Maths/image160.jpg
    1965 Shell Pure Maths Page 80


    Images_Ed_1965_Shell_Pure_Maths/image162.jpg
    1965 Shell Pure Maths Page 81


    Images_Ed_1965_Shell_Pure_Maths/image164.jpg
    1965 Shell Pure Maths Page 82