Images_Index/WTN_HeaderX.png

Images Learn/27 WTN_1996_Greenhouse_Sub_Soil_Heating_Controls.jpg
WTN Greenhouse Sub Soil Heating Controls
Images_Index/WTN_Icon_edited.png

Education 1996 Matthew Boulton College BTEC NC Building Services Electrical Design

I have included copies of my higher education notes on this website, that amount to ten years of my life approximately, for the following reasons. They prove that in a world of over population and hence competition, incomplete and out of date courses, the inablity to find out where the job vacancies are and then know how to apply for them, plus too much automation, education beyond the three R's is for most people a complete waste of time, money and effort. Only a technocracy, that is government by highly intelligent, qualified and trained technocrats, supported by artificial intelligence, can put this matter right, providing purpose, an identity, mental well being and hence loyalty to the state. Such a system can only come about through a technocracy. A world technocracy can lead to greater benefits, the obvious one being the directing of finance for war towards finance for scientific research.



  1. Education 1996 Matthew Boulton College
    BTEC NC Building Services Electrical Design


  2. Index

    Page No. Subject
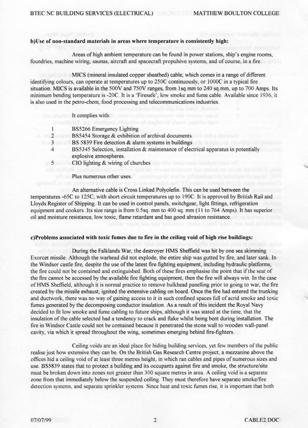
    2 BS7671 Use of Cables
    6 Environmental Conditions & Non-Standard Materials
    9 CAD Drawings, Doctor's Surgery'
    14 Conduit Systems
    18 Cable Selection Calculations
    26 Amtech Cablemaster Calculations
    28 Basic Building Services (Bungalow)
    30 Basic Building Services (Bungalow)
    CAD Drawings
    32 Basic Building Services (Bungalow)
    Heating Requirement Spreadsheet
    34 Basic Building Services (Bungalow)
    Pipework
    36 Basic Building Services (Bungalow)
    Electrical
    45 Basic Building Services (Bungalow)
    Consumer Unit & Meter
    46 Basic Building Services (Bungalow)
    Electrical Circuits
    48 Basic Building Services (Bungalow)
    Costing of Electrical Parts & Labour Spreadsheet
    50 Basic Building Services (Bungalow)
    Lighting Levels
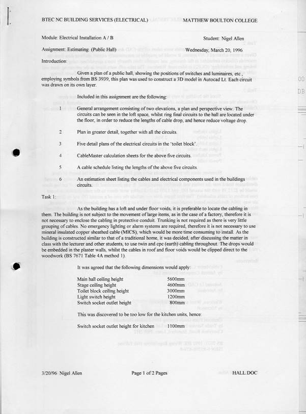
    51 Estimating (Public Hall)
    Introduction
    53 Estimating (Public Hall)
    CAD Drawings
    61 Estimating (Public Hall)
    Estimating Spreadsheet
    65 Fire Alarm Circuits
    67 Net Labout Rate Calculations
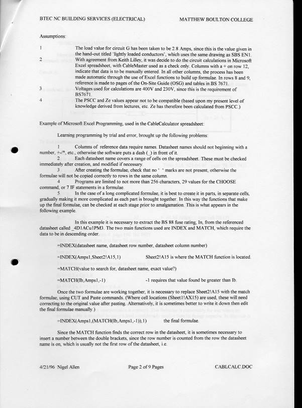
    71 Design Principles (Cable Calculations)
    80 Design Principles (Cable Calculations)
    CableCalculator Spreadsheet
    (created by Nigel Allen in 16 pages)
    98 Assignment No. 2 Garden Centre
    112 Desin Principles Commercial Offices
    120 Building Services Drawings
    124 Electrical Catalogues
    128 The Building Services Industry
    (Company Organisation)
    136 Power Factor Correction
    & Electricity Tariffs
    141 Series AC Circuits
    153 CR Circuit Time Constants


  3. Education 1996 Matthew Boulton College
    BTEC NC Electrical Building Services Design



  4. Images_Ed_1996_BTEC_NC_Building_Services_Electrical/image002.jpg
    1996 BTEC NC Building Services Electrical Course At Matthew Boulton College Page 1


    Images_Ed_1996_BTEC_NC_Building_Services_Electrical/image004.jpg
    1996 BTEC NC Building Services Electrical Course At Matthew Boulton College Page 2


    Images_Ed_1996_BTEC_NC_Building_Services_Electrical/image006.jpg
    1996 BTEC NC Building Services Electrical Course At Matthew Boulton College Page 3


    Images_Ed_1996_BTEC_NC_Building_Services_Electrical/image008.jpg
    1996 BTEC NC Building Services Electrical Course At Matthew Boulton College Page 4


    Images_Ed_1996_BTEC_NC_Building_Services_Electrical/image010.jpg
    1996 BTEC NC Building Services Electrical Course At Matthew Boulton College Page 5


    Images_Ed_1996_BTEC_NC_Building_Services_Electrical/image012.jpg
    1996 BTEC NC Building Services Electrical Course At Matthew Boulton College Page 6


    Images_Ed_1996_BTEC_NC_Building_Services_Electrical/image014.jpg
    1996 BTEC NC Building Services Electrical Course At Matthew Boulton College Page 7


    Images_Ed_1996_BTEC_NC_Building_Services_Electrical/image016.jpg
    1996 BTEC NC Building Services Electrical Course At Matthew Boulton College Page 8


    Images_Ed_1996_BTEC_NC_Building_Services_Electrical/image018.jpg
    1996 BTEC NC Building Services Electrical Course At Matthew Boulton College Page 9


    Images_Ed_1996_BTEC_NC_Building_Services_Electrical/image020.jpg
    1996 BTEC NC Building Services Electrical Course At Matthew Boulton College Page 10


    Images_Ed_1996_BTEC_NC_Building_Services_Electrical/image022.jpg
    1996 BTEC NC Building Services Electrical Course At Matthew Boulton College Page 11


    Images_Ed_1996_BTEC_NC_Building_Services_Electrical/image024.jpg
    "1996 BTEC NC Building Services Electrical Course At Matthew Boulton College Page 12


    Images_Ed_1996_BTEC_NC_Building_Services_Electrical/image026.jpg
    "1996 BTEC NC Building Services Electrical Course At Matthew Boulton College Page 13


    Images_Ed_1996_BTEC_NC_Building_Services_Electrical/image028.jpg
    "1996 BTEC NC Building Services Electrical Course At Matthew Boulton College Page 14


    Images_Ed_1996_BTEC_NC_Building_Services_Electrical/image030.jpg
    1996 BTEC NC Building Services Electrical Course At Matthew Boulton College Page 15


    Images_Ed_1996_BTEC_NC_Building_Services_Electrical/image032.jpg
    1996 BTEC NC Building Services Electrical Course At Matthew Boulton College Page 16


    Images_Ed_1996_BTEC_NC_Building_Services_Electrical/image034.jpg
    1996 BTEC NC Building Services Electrical Course At Matthew Boulton College Page 17


    Images_Ed_1996_BTEC_NC_Building_Services_Electrical/image036.jpg
    1996 BTEC NC Building Services Electrical Course At Matthew Boulton College Page 18


    Images_Ed_1996_BTEC_NC_Building_Services_Electrical/image038.jpg
    1996 BTEC NC Building Services Electrical Course At Matthew Boulton College Page 19


    Images_Ed_1996_BTEC_NC_Building_Services_Electrical/image040.jpg
    1996 BTEC NC Building Services Electrical Course At Matthew Boulton College Page 20


    Images_Ed_1996_BTEC_NC_Building_Services_Electrical/image042.jpg
    1996 BTEC NC Building Services Electrical Course At Matthew Boulton College Page 21


    Images_Ed_1996_BTEC_NC_Building_Services_Electrical/image044.jpg
    1996 BTEC NC Building Services Electrical Course At Matthew Boulton College Page 22


    Images_Ed_1996_BTEC_NC_Building_Services_Electrical/image046.jpg
    1996 BTEC NC Building Services Electrical Course At Matthew Boulton College Page 23


    Images_Ed_1996_BTEC_NC_Building_Services_Electrical/image048.jpg
    1996 BTEC NC Building Services Electrical Course At Matthew Boulton College Page 24


    Images_Learn/27 WTN_1996_Cable_Calculator by NS Allen.jpg
    WTN 1996 Cable Calculator by NS Allen


    Images_Ed_1996_BTEC_NC_Building_Services_Electrical/image050.jpg
    1996 BTEC NC Building Services Electrical Course At Matthew Boulton College Page 25


    Images_Ed_1996_BTEC_NC_Building_Services_Electrical/image052.jpg
    1996 BTEC NC Building Services Electrical Course At Matthew Boulton College Page 26


    Images_Ed_1996_BTEC_NC_Building_Services_Electrical/image054.jpg
    1996 BTEC NC Building Services Electrical Course At Matthew Boulton College Page 27


    Images_Ed_1996_BTEC_NC_Building_Services_Electrical/image056.jpg
    1996 BTEC NC Building Services Electrical Course At Matthew Boulton College Page 28


    Images_Ed_1996_BTEC_NC_Building_Services_Electrical/image058.jpg
    1996 BTEC NC Building Services Electrical Course At Matthew Boulton College Page 29


    Images_Ed_1996_BTEC_NC_Building_Services_Electrical/image060.jpg
    1996 BTEC NC Building Services Electrical Course At Matthew Boulton College Page 30


    Images_Ed_1996_BTEC_NC_Building_Services_Electrical/image062.jpg
    1996 BTEC NC Building Services Electrical Course At Matthew Boulton College Page 31


    Images_Ed_1996_BTEC_NC_Building_Services_Electrical/image064.jpg
    1996 BTEC NC Building Services Electrical Course At Matthew Boulton College Page 32


    Images_Ed_1996_BTEC_NC_Building_Services_Electrical/image066.jpg
    1996 BTEC NC Building Services Electrical Course At Matthew Boulton College Page 33


    Images_Ed_1996_BTEC_NC_Building_Services_Electrical/image068.jpg
    1996 BTEC NC Building Services Electrical Course At Matthew Boulton College Page 34


    Images_Ed_1996_BTEC_NC_Building_Services_Electrical/image070.jpg
    1996 BTEC NC Building Services Electrical Course At Matthew Boulton College Page 35


    Images_Ed_1996_BTEC_NC_Building_Services_Electrical/image072.jpg
    1996 BTEC NC Building Services Electrical Course At Matthew Boulton College Page 36


    Images_Ed_1996_BTEC_NC_Building_Services_Electrical/image074.jpg
    1996 BTEC NC Building Services Electrical Course At Matthew Boulton College Page 37


    Images_Ed_1996_BTEC_NC_Building_Services_Electrical/image076.jpg
    1996 BTEC NC Building Services Electrical Course At Matthew Boulton College Page 38


    Images_Ed_1996_BTEC_NC_Building_Services_Electrical/image078.jpg
    1996 BTEC NC Building Services Electrical Course At Matthew Boulton College Page 39


    Images_Ed_1996_BTEC_NC_Building_Services_Electrical/image080.jpg
    1996 BTEC NC Building Services Electrical Course At Matthew Boulton College Page 40


    Images_Ed_1996_BTEC_NC_Building_Services_Electrical/image082.jpg
    1996 BTEC NC Building Services Electrical Course At Matthew Boulton College Page 41


    Images_Ed_1996_BTEC_NC_Building_Services_Electrical/image084.jpg
    1996 BTEC NC Building Services Electrical Course At Matthew Boulton College Page 42


    Images_Ed_1996_BTEC_NC_Building_Services_Electrical/image086.jpg
    1996 BTEC NC Building Services Electrical Course At Matthew Boulton College Page 43


    Images_Ed_1996_BTEC_NC_Building_Services_Electrical/image088.jpg
    1996 BTEC NC Building Services Electrical Course At Matthew Boulton College Page 44


    Images_Ed_1996_BTEC_NC_Building_Services_Electrical/image090.jpg
    1996 BTEC NC Building Services Electrical Course At Matthew Boulton College Page 45


    Images_Ed_1996_BTEC_NC_Building_Services_Electrical/image092.jpg
    1996 BTEC NC Building Services Electrical Course At Matthew Boulton College Page 46


    Images_Ed_1996_BTEC_NC_Building_Services_Electrical/image094.jpg
    1996 BTEC NC Building Services Electrical Course At Matthew Boulton College Page 47


    Images_Ed_1996_BTEC_NC_Building_Services_Electrical/image096.jpg
    1996 BTEC NC Building Services Electrical Course At Matthew Boulton College Page 48


    Images_Ed_1996_BTEC_NC_Building_Services_Electrical/image098.jpg
    1996 BTEC NC Building Services Electrical Course At Matthew Boulton College Page 49


    Images_Ed_1996_BTEC_NC_Building_Services_Electrical/image100.jpg
    1996 BTEC NC Building Services Electrical Course At Matthew Boulton College Page 50


    Images_Ed_1996_BTEC_NC_Building_Services_Electrical/image102.jpg
    1996 BTEC NC Building Services Electrical Course At Matthew Boulton College Page 51


    Images_Ed_1996_BTEC_NC_Building_Services_Electrical/image104.jpg
    1996 BTEC NC Building Services Electrical Course At Matthew Boulton College Page 52


    Images_Ed_1996_BTEC_NC_Building_Services_Electrical/image106.jpg
    1996 BTEC NC Building Services Electrical Course At Matthew Boulton College Page 53


    Images_Ed_1996_BTEC_NC_Building_Services_Electrical/image108.jpg
    1996 BTEC NC Building Services Electrical Course At Matthew Boulton College Page 54


    Images_Ed_1996_BTEC_NC_Building_Services_Electrical/image110.jpg
    1996 BTEC NC Building Services Electrical Course At Matthew Boulton College Page 55


    Images_Ed_1996_BTEC_NC_Building_Services_Electrical/image112.jpg
    1996 BTEC NC Building Services Electrical Course At Matthew Boulton College Page 56


    Images_Ed_1996_BTEC_NC_Building_Services_Electrical/image114.jpg
    1996 BTEC NC Building Services Electrical Course At Matthew Boulton College Page 57


    Images_Ed_1996_BTEC_NC_Building_Services_Electrical/image116.jpg
    1996 BTEC NC Building Services Electrical Course At Matthew Boulton College Page 58


    Images_Ed_1996_BTEC_NC_Building_Services_Electrical/image119.jpg
    1996 BTEC NC Building Services Electrical Course At Matthew Boulton College Page 59


    Images_Ed_1996_BTEC_NC_Building_Services_Electrical/image120.jpg
    1996 BTEC NC Building Services Electrical Course At Matthew Boulton College Page 60


    Images_Ed_1996_BTEC_NC_Building_Services_Electrical/image122.jpg
    1996 BTEC NC Building Services Electrical Course At Matthew Boulton College Page 61


    Images_Ed_1996_BTEC_NC_Building_Services_Electrical/image124.jpg
    1996 BTEC NC Building Services Electrical Course At Matthew Boulton College Page 62


    Images_Ed_1996_BTEC_NC_Building_Services_Electrical/image126.jpg
    1996 BTEC NC Building Services Electrical Course At Matthew Boulton College Page 63


    Images_Ed_1996_BTEC_NC_Building_Services_Electrical/image128.jpg
    1996 BTEC NC Building Services Electrical Course At Matthew Boulton College Page 64


    Images_Ed_1996_BTEC_NC_Building_Services_Electrical/image130.jpg
    1996 BTEC NC Building Services Electrical Course At Matthew Boulton College Page 65


    Images_Ed_1996_BTEC_NC_Building_Services_Electrical/image132.jpg
    1996 BTEC NC Building Services Electrical Course At Matthew Boulton College Page 66


    Images_Ed_1996_BTEC_NC_Building_Services_Electrical/image134.jpg
    1996 BTEC NC Building Services Electrical Course At Matthew Boulton College Page 67


    Images_Ed_1996_BTEC_NC_Building_Services_Electrical/image136.jpg
    1996 BTEC NC Building Services Electrical Course At Matthew Boulton College Page 68


    Images_Ed_1996_BTEC_NC_Building_Services_Electrical/image138.jpg
    1996 BTEC NC Building Services Electrical Course At Matthew Boulton College Page 69


    Images_Ed_1996_BTEC_NC_Building_Services_Electrical/image140.jpg
    1996 BTEC NC Building Services Electrical Course At Matthew Boulton College Page 70


    Images_Ed_1996_BTEC_NC_Building_Services_Electrical/image142.jpg
    1996 BTEC NC Building Services Electrical Course At Matthew Boulton College Page 71


    Images_Ed_1996_BTEC_NC_Building_Services_Electrical/image144.jpg
    1996 BTEC NC Building Services Electrical Course At Matthew Boulton College Page 72


    Images_Ed_1996_BTEC_NC_Building_Services_Electrical/image146.jpg
    1996 BTEC NC Building Services Electrical Course At Matthew Boulton College Page 73


    Images_Ed_1996_BTEC_NC_Building_Services_Electrical/image148.jpg
    1996 BTEC NC Building Services Electrical Course At Matthew Boulton College Page 74


    Images_Ed_1996_BTEC_NC_Building_Services_Electrical/image150.jpg
    1996 BTEC NC Building Services Electrical Course At Matthew Boulton College Page 75


    Images_Ed_1996_BTEC_NC_Building_Services_Electrical/image152.jpg
    1996 BTEC NC Building Services Electrical Course At Matthew Boulton College Page 76


    Images_Ed_1996_BTEC_NC_Building_Services_Electrical/image154.jpg
    1996 BTEC NC Building Services Electrical Course At Matthew Boulton College Page 77


    Images_Ed_1996_BTEC_NC_Building_Services_Electrical/image156.jpg
    1996 BTEC NC Building Services Electrical Course At Matthew Boulton College Page 78


    Images_Ed_1996_BTEC_NC_Building_Services_Electrical/image158.jpg
    1996 BTEC NC Building Services Electrical Course At Matthew Boulton College Page 79


    Images_Ed_1996_BTEC_NC_Building_Services_Electrical/image160.jpg
    1996 BTEC NC Building Services Electrical Course At Matthew Boulton College Page 80


    Images_Ed_1996_BTEC_NC_Building_Services_Electrical/image162.jpg
    1996 BTEC NC Building Services Electrical Course At Matthew Boulton College Page 81


    Images_Ed_1996_BTEC_NC_Building_Services_Electrical/image164.jpg
    1996 BTEC NC Building Services Electrical Course At Matthew Boulton College Page 82


    Images_Ed_1996_BTEC_NC_Building_Services_Electrical/image166.jpg
    1996 BTEC NC Building Services Electrical Course At Matthew Boulton College Page 83


    Images_Ed_1996_BTEC_NC_Building_Services_Electrical/image168.jpg
    1996 BTEC NC Building Services Electrical Course At Matthew Boulton College Page 84


    Images_Ed_1996_BTEC_NC_Building_Services_Electrical/image170.jpg
    1996 BTEC NC Building Services Electrical Course At Matthew Boulton College Page 85


    Images_Ed_1996_BTEC_NC_Building_Services_Electrical/image172.jpg
    1996 BTEC NC Building Services Electrical Course At Matthew Boulton College Page 86


    Images_Ed_1996_BTEC_NC_Building_Services_Electrical/image174.jpg
    1996 BTEC NC Building Services Electrical Course At Matthew Boulton College Page 87


    Images_Ed_1996_BTEC_NC_Building_Services_Electrical/image176.jpg
    1996 BTEC NC Building Services Electrical Course At Matthew Boulton College Page 88


    Images_Ed_1996_BTEC_NC_Building_Services_Electrical/image178.jpg
    1996 BTEC NC Building Services Electrical Course At Matthew Boulton College Page 89


    Images_Ed_1996_BTEC_NC_Building_Services_Electrical/image180.jpg
    1996 BTEC NC Building Services Electrical Course At Matthew Boulton College Page 90


    Images_Ed_1996_BTEC_NC_Building_Services_Electrical/image182.jpg
    1996 BTEC NC Building Services Electrical Course At Matthew Boulton College Page 91


    Images_Ed_1996_BTEC_NC_Building_Services_Electrical/image184.jpg
    1996 BTEC NC Building Services Electrical Course At Matthew Boulton College Page 92


    Images_Ed_1996_BTEC_NC_Building_Services_Electrical/image186.jpg
    1996 BTEC NC Building Services Electrical Course At Matthew Boulton College Page 93


    Images Learn/27 WTN_1996_Materials_List.jpg
    WC 1996 Materials List


    Images_Ed_1996_BTEC_NC_Building_Services_Electrical/image188.jpg
    1996 BTEC NC Building Services Electrical Course At Matthew Boulton College Page 94


    Images_Ed_1996_BTEC_NC_Building_Services_Electrical/image190.jpg
    1996 BTEC NC Building Services Electrical Course At Matthew Boulton College Page 95


    Images_Ed_1996_BTEC_NC_Building_Services_Electrical/image192.jpg
    1996 BTEC NC Building Services Electrical Course At Matthew Boulton College Page 96


    Images_Ed_1996_BTEC_NC_Building_Services_Electrical/image194.jpg
    1996 BTEC NC Building Services Electrical Course At Matthew Boulton College Page 97


    Images_Ed_1996_BTEC_NC_Building_Services_Electrical/image196.jpg
    1996 BTEC NC Building Services Electrical Course At Matthew Boulton College Page 98


    Images_Ed_1996_BTEC_NC_Building_Services_Electrical/image198.jpg
    1996 BTEC NC Building Services Electrical Course At Matthew Boulton College Page 99


    Images_Ed_1996_BTEC_NC_Building_Services_Electrical/image200.jpg
    1996 BTEC NC Building Services Electrical Course At Matthew Boulton College Page 100


    Images_Ed_1996_BTEC_NC_Building_Services_Electrical/image202.jpg
    1996 BTEC NC Building Services Electrical Course At Matthew Boulton College Page 101


    Images_Ed_1996_BTEC_NC_Building_Services_Electrical/image204.jpg
    1996 BTEC NC Building Services Electrical Course At Matthew Boulton College Page 102


    Images_Ed_1996_BTEC_NC_Building_Services_Electrical/image206.jpg
    1996 BTEC NC Building Services Electrical Course At Matthew Boulton College Page 103


    Images_Ed_1996_BTEC_NC_Building_Services_Electrical/image208.jpg
    1996 BTEC NC Building Services Electrical Course At Matthew Boulton College Page 104


    Images_Ed_1996_BTEC_NC_Building_Services_Electrical/image210.jpg
    1996 BTEC NC Building Services Electrical Course At Matthew Boulton College Page 105


    Images_Ed_1996_BTEC_NC_Building_Services_Electrical/image212.jpg
    1996 BTEC NC Building Services Electrical Course At Matthew Boulton College Page 106


    Images_Ed_1996_BTEC_NC_Building_Services_Electrical/image214.jpg
    1996 BTEC NC Building Services Electrical Course At Matthew Boulton College Page 107


    Images_Ed_1996_BTEC_NC_Building_Services_Electrical/image216.jpg
    1996 BTEC NC Building Services Electrical Course At Matthew Boulton College Page 108


    Images_Ed_1996_BTEC_NC_Building_Services_Electrical/image218.jpg
    1996 BTEC NC Building Services Electrical Course At Matthew Boulton College Page 109


    Images_Ed_1996_BTEC_NC_Building_Services_Electrical/image220.jpg
    1996 BTEC NC Building Services Electrical Course At Matthew Boulton College Page 110


    Images_Ed_1996_BTEC_NC_Building_Services_Electrical/image222.jpg
    1996 BTEC NC Building Services Electrical Course At Matthew Boulton College Page 111


    Images_Ed_1996_BTEC_NC_Building_Services_Electrical/image224.jpg
    1996 BTEC NC Building Services Electrical Course At Matthew Boulton College Page 112


    Images_Ed_1996_BTEC_NC_Building_Services_Electrical/image226.jpg
    1996 BTEC NC Building Services Electrical Course At Matthew Boulton College Page 113


    Images_Ed_1996_BTEC_NC_Building_Services_Electrical/image228.jpg
    1996 BTEC NC Building Services Electrical Course At Matthew Boulton College Page 114


    Images_Ed_1996_BTEC_NC_Building_Services_Electrical/image230.jpg
    1996 BTEC NC Building Services Electrical Course At Matthew Boulton College Page 115


    Images_Ed_1996_BTEC_NC_Building_Services_Electrical/image232.jpg
    1996 BTEC NC Building Services Electrical Course At Matthew Boulton College Page 116


    Images_Ed_1996_BTEC_NC_Building_Services_Electrical/image234.jpg
    1996 BTEC NC Building Services Electrical Course At Matthew Boulton College Page 117


    Images_Ed_1996_BTEC_NC_Building_Services_Electrical/image236.jpg
    1996 BTEC NC Building Services Electrical Course At Matthew Boulton College Page 118


    Images_Ed_1996_BTEC_NC_Building_Services_Electrical/image238.jpg
    1996 BTEC NC Building Services Electrical Course At Matthew Boulton College Page 119


    Images_Ed_1996_BTEC_NC_Building_Services_Electrical/image240.jpg
    1996 BTEC NC Building Services Electrical Course At Matthew Boulton College Page 120

    Images_Ed_1996_BTEC_NC_Building_Services_Electrical/image242.jpg
    1996 BTEC NC Building Services Electrical Course At Matthew Boulton College Page 121


    Images_Ed_1996_BTEC_NC_Building_Services_Electrical/image244.jpg
    1996 BTEC NC Building Services Electrical Course At Matthew Boulton College Page 122


    Images_Ed_1996_BTEC_NC_Building_Services_Electrical/image246.jpg
    1996 BTEC NC Building Services Electrical Course At Matthew Boulton College Page 123


    Images_Ed_1996_BTEC_NC_Building_Services_Electrical/image248.jpg
    1996 BTEC NC Building Services Electrical Course At Matthew Boulton College Page 124


    Images_Ed_1996_BTEC_NC_Building_Services_Electrical/image250.jpg
    1996 BTEC NC Building Services Electrical Course At Matthew Boulton College Page 125


    Images_Ed_1996_BTEC_NC_Building_Services_Electrical/image252.jpg
    1996 BTEC NC Building Services Electrical Course At Matthew Boulton College Page 126


    Images_Ed_1996_BTEC_NC_Building_Services_Electrical/image254.jpg
    1996 BTEC NC Building Services Electrical Course At Matthew Boulton College Page 127


    Images_Ed_1996_BTEC_NC_Building_Services_Electrical/image256.jpg
    1996 BTEC NC Building Services Electrical Course At Matthew Boulton College Page 128


    Images_Ed_1996_BTEC_NC_Building_Services_Electrical/image258.jpg
    1996 BTEC NC Building Services Electrical Course At Matthew Boulton College Page 129


    Images_Ed_1996_BTEC_NC_Building_Services_Electrical/image260.jpg
    1996 BTEC NC Building Services Electrical Course At Matthew Boulton College Page 130


    Images_Ed_1996_BTEC_NC_Building_Services_Electrical/image262.jpg
    1996 BTEC NC Building Services Electrical Course At Matthew Boulton College Page 131


    Images_Ed_1996_BTEC_NC_Building_Services_Electrical/image264.jpg
    "1996 BTEC NC Building Services Electrical Course At Matthew Boulton College Page 132


    Images_Ed_1996_BTEC_NC_Building_Services_Electrical/image026.jpg
    "1996 BTEC NC Building Services Electrical Course At Matthew Boulton College Page 133


    Images_Ed_1996_BTEC_NC_Building_Services_Electrical/image268.jpg
    "1996 BTEC NC Building Services Electrical Course At Matthew Boulton College Page 134


    Images_Ed_1996_BTEC_NC_Building_Services_Electrical/image270.jpg
    1996 BTEC NC Building Services Electrical Course At Matthew Boulton College Page 135


    Images_Ed_1996_BTEC_NC_Building_Services_Electrical/image272.jpg
    1996 BTEC NC Building Services Electrical Course At Matthew Boulton College Page 136


    Images_Ed_1996_BTEC_NC_Building_Services_Electrical/image274.jpg
    1996 BTEC NC Building Services Electrical Course At Matthew Boulton College Page 137


    Images_Ed_1996_BTEC_NC_Building_Services_Electrical/image276.jpg
    1996 BTEC NC Building Services Electrical Course At Matthew Boulton College Page 138


    Images_Ed_1996_BTEC_NC_Building_Services_Electrical/image278.jpg
    1996 BTEC NC Building Services Electrical Course At Matthew Boulton College Page 139


    Images_Ed_1996_BTEC_NC_Building_Services_Electrical/image280.jpg
    1996 BTEC NC Building Services Electrical Course At Matthew Boulton College Page 140


    Images_Ed_1996_BTEC_NC_Building_Services_Electrical/image282.jpg
    1996 BTEC NC Building Services Electrical Course At Matthew Boulton College Page 141


    Images_Ed_1996_BTEC_NC_Building_Services_Electrical/image284.jpg
    1996 BTEC NC Building Services Electrical Course At Matthew Boulton College Page 142


    Images_Ed_1996_BTEC_NC_Building_Services_Electrical/image286.jpg
    1996 BTEC NC Building Services Electrical Course At Matthew Boulton College Page 143


    Images_Ed_1996_BTEC_NC_Building_Services_Electrical/image288.jpg
    1996 BTEC NC Building Services Electrical Course At Matthew Boulton College Page 144


    Images_Ed_1996_BTEC_NC_Building_Services_Electrical/image290.jpg
    1996 BTEC NC Building Services Electrical Course At Matthew Boulton College Page 145


    Images_Ed_1996_BTEC_NC_Building_Services_Electrical/image292.jpg
    1996 BTEC NC Building Services Electrical Course At Matthew Boulton College Page 146


    Images_Ed_1996_BTEC_NC_Building_Services_Electrical/image294.jpg
    1996 BTEC NC Building Services Electrical Course At Matthew Boulton College Page 147


    Images_Ed_1996_BTEC_NC_Building_Services_Electrical/image296.jpg
    1996 BTEC NC Building Services Electrical Course At Matthew Boulton College Page 148


    Images_Ed_1996_BTEC_NC_Building_Services_Electrical/image298.jpg
    1996 BTEC NC Building Services Electrical Course At Matthew Boulton College Page 149


    Images_Ed_1996_BTEC_NC_Building_Services_Electrical/image300.jpg
    1996 BTEC NC Building Services Electrical Course At Matthew Boulton College Page 150


    Images_Ed_1996_BTEC_NC_Building_Services_Electrical/image302.jpg
    1996 BTEC NC Building Services Electrical Course At Matthew Boulton College Page 151


    Images_Ed_1996_BTEC_NC_Building_Services_Electrical/image304.jpg
    1996 BTEC NC Building Services Electrical Course At Matthew Boulton College Page 152


    Images_Ed_1996_BTEC_NC_Building_Services_Electrical/image306.jpg
    1996 BTEC NC Building Services Electrical Course At Matthew Boulton College Page 153


    Images_Ed_1996_BTEC_NC_Building_Services_Electrical/image308.jpg
    1996 BTEC NC Building Services Electrical Course At Matthew Boulton College Page 154


    Images Learn/27 WTN_1996_Company_Structure_for_Projects.jpg
    WTN 1996 Company Structure for Projects