Images_Index/WTN_HeaderX.png

Images_Learn/25_WC_1994_Haophuong21_Industrial_Robots.jpg
WC 1994, Haophuong21, Industrial Robots on Production Line
Images_Index/WTN_Icon_edited.png

Education 1994 Sandwell College BTEC HND Engineering-1

I have included copies of my higher education notes on this website, that amount to ten years of my life approximately, for the following reasons. They prove that in a world of over population and hence competition, incomplete and out of date courses, the inability to find out where the job vacancies are and then know how to apply for them, plus too much automation, education beyond the three R's is for most people a complete waste of time, money and effort. Only a technocracy, that is government by highly intelligent, qualified and trained technocrats, supported by artificial intelligence, can put this matter right, providing purpose, an identity, mental well being and hence loyalty to the state. Such a system can only come about through a technocracy. A world technocracy can lead to greater benefits, the obvious one being the directing of finance for war towards finance for scientific research.

    NOTE: Some pages in this section do not display due to a software conflict. Exact cause unknown.



  1. Education 1994 Sandwell College
    BTEC HND Engineering-1


  2. Index

    Page No. Subject
    2 Programmable Logic Controllers
    Assignment No.1 Determine Input Current & Counter
    3 Programmable Logic Controllers
    Assignment No.2 Hardware Range of Sizes
    11 Programmable Logic Controllers
    Assignment No.3 PID Control Simulation
    25 Programmable Logic Controllers
    Assignment No.4 Communication
    30 Programmable Logic Controllers
    Assignment No.5 Mimic Diagram
    33 SAIA-PMS Database Listing
    44 Programmable Logic Controllers
    Assignment No.6 PLC Process Control (practical)
    50 Multimedia
    Assignment No.1 Investigation Of Copyright Laws
    58 Multimedia
    Assignment No.2 Investigation of Graphic Images
    85 Multimedia
    Assignment No.3 Designing Navigation Icons
    70 Multimedia
    Assignment No.4 A Linear Multimedia Tutorial
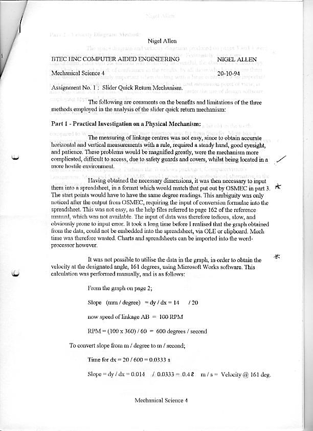
    93 Mechanical Science 4
    Assignment No.1 Slider Quick Return Mechanism
    105 Mechanical Science 4
    Assignment No.2
    Belt Drive with Mathcad 5
    117 Mechanical Science 4
    Assignment No.4
    Beam Analysis
    121 DesignView Drawings
    128 Computer Aided Manufacturing
    Assignment E: Advantages of CAM System
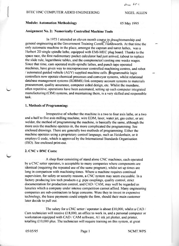
    133 Automation Methodology
    Assignment No.1 Automatic Inspection
    137 Automation Methodology
    Assignment No.2 Numerically
    Controlled Machine Tools
    142 Direct Numerical Control
    155 Quality Assurance 4
    Assignment No.1 Statistical Process Control
    163 Quality Assurance 4
    Assignment No.2 Total Quality
    169 Metrology 4
    Assignment No.1
    172 Metrology 4
    Assignment No.2 Measure Taper
    & Ball Diameter
    174 Metrology 4
    Assignment No.3 Interferometry
    180 Industrial Studies
    Assignment No.1 Sole Trading & Partnerships
    182 Industrial Studies 4
    Assignment No.2 Organisational Structures
    186 Industrial Studies 4
    Assignment No.3 Personnel Management
    189 Cadtract advertisement
    (my company name when I was self employed)
    190 Industrial Studies 4
    Assignment No.4 Share Portfolio
    199 Industrial Studies 4
    Assignment No.5 Intellectual Property
    Patents & Copyright
    204 Software Design Methods
    Assignmant 1 Basic Programming
    209 Software Design Methods
    Assignment 2 INKEY$ Program
    213 Software Design Methods
    Assignment 3 Car Hire Program
    224 Software Design Methods
    Assignment 4 Temperature Conversion
    233 Software Design Methods
    Assignment 5 Sweden Wealth Per Capita
    235 Software Design Methods
    Assignment 6 Butterfly
    244 Software Design Methods
    Assignment 7 Video Database
    253 Animation & Graphics
    Assignment No.1 3 Dimensional Modelling
    256 Animation & Graphics
    Assignment No.2 Industry Leaders
    262 Project (module 15713H)
    3D CAD of Materials Handling Transfer Arm
    & Bill Of Materials
    276 Engineering Design 4 (module 13767V)
    Parameterisation
    281 Parameterised Drawings
    283 Parameterised Drawing of Pressure Vessel
    288 Computer Aided Drawing 3
    Serck Heat Exchanger
    290 Computer Aided Drawing 3
    CAD Exercise
    291 Computer Aided Drawing 3
    CAD Exercise
    292 Computer Aided Drawing 3
    CAD Exercise 3
    291 Computer Aided Drawing 3
    CAD Exercise: Desk
    294 Computer Aided Engineering 4
    Definition of Engineering Terms
    297 Computer Aided Engineering 4
    Implementation Plan for Upgrade of
    College Engineering Department
    305 Computer Aided Design 5 Finite Element Analysis
    313 BTEC Engineering Modules Completed by Nigel Allen
    313 Mathematics for Engineering 4
    324 Mathematics for Engineering 4
    Assignment 1 Complex Numbers
    331 Mathematics for Engineering 4
    Assignment 1: Numerical Fourier Analysis
    350 Engineering Instrumentation & Control
    Assignment 1: Data Aquisition Systems
    355 Engineering Instrumentation & Control
    Assignment 1: Strain Gauge Experiment
    357 Engineering Instrumentation & Control
    Assignment 2:
    Characteristic Temperature of Thermistor Pt.1
    Thermistor Linearization Experiment Pt.2
    364 Engineering Instrumentation & Control
    Assignment 1:
    Linear Variable Displacement Transformer Experiment


  3. Education 1994 Sandwell College
    BTEC HND Engineering-1 Notes



  4. Images_Ed_1994_Sandwell_College_BTEC_HND_Engineering/image001.jpg
    1994 Sandwell College BTEC HND Engineering Notes - Page 1


    Images_Ed_1994_Sandwell_College_BTEC_HND_Engineering/image002.jpg
    1994 Sandwell College BTEC HND Engineering Notes - Page 2


    Images_Ed_1994_Sandwell_College_BTEC_HND_Engineering/image003.jpg
    1994 Sandwell College BTEC HND Engineering Notes - Page 3


    Images_Ed_1994_Sandwell_College_BTEC_HND_Engineering/image004.jpg
    1994 Sandwell College BTEC HND Engineering Notes - Page 4


    Images_Ed_1994_Sandwell_College_BTEC_HND_Engineering/image005.jpg
    1994 Sandwell College BTEC HND Engineering Notes - Page 5


    Images_Ed_1994_Sandwell_College_BTEC_HND_Engineering/image006.jpg
    1994 Sandwell College BTEC HND Engineering Notes - Page 6


    Images_Ed_1994_Sandwell_College_BTEC_HND_Engineering/image007.jpg
    1994 Sandwell College BTEC HND Engineering Notes - Page 7


    Images_Ed_1994_Sandwell_College_BTEC_HND_Engineering/image008.jpg
    1994 Sandwell College BTEC HND Engineering Notes - Page 8


    Images_Ed_1994_Sandwell_College_BTEC_HND_Engineering/image009.jpg
    1994 Sandwell College BTEC HND Engineering Notes - Page 9


    Images_Ed_1994_Sandwell_College_BTEC_HND_Engineering/image010.jpg
    1994 Sandwell College BTEC HND Engineering Notes - Page 10


    Images_Ed_1994_Sandwell_College_BTEC_HND_Engineering/image011.jpg
    1994 Sandwell College BTEC HND Engineering Notes - Page 11


    Images_Ed_1994_Sandwell_College_BTEC_HND_Engineering/image012.jpg
    1994 Sandwell College BTEC HND Engineering Notes - Page 12


    Images_Ed_1994_Sandwell_College_BTEC_HND_Engineering/image013.jpg
    1994 Sandwell College BTEC HND Engineering Notes - Page 13


    Images_Ed_1994_Sandwell_College_BTEC_HND_Engineering/image014.jpg
    1994 Sandwell College BTEC HND Engineering Notes - Page 14


    Images_Ed_1994_Sandwell_College_BTEC_HND_Engineering/image015.jpg
    1994 Sandwell College BTEC HND Engineering Notes - Page 15


    Images_Ed_1994_Sandwell_College_BTEC_HND_Engineering/image016.jpg
    1994 Sandwell College BTEC HND Engineering Notes - Page 16


    Images_Ed_1994_Sandwell_College_BTEC_HND_Engineering/image017.jpg
    1994 Sandwell College BTEC HND Engineering Notes - Page 17


    Images_Ed_1994_Sandwell_College_BTEC_HND_Engineering/image018.jpg
    1994 Sandwell College BTEC HND Engineering Notes - Page 18


    Images_Ed_1994_Sandwell_College_BTEC_HND_Engineering/image019.jpg
    1994 Sandwell College BTEC HND Engineering Notes - Page 19


    Images_Ed_1994_Sandwell_College_BTEC_HND_Engineering/image020.jpg
    1994 Sandwell College BTEC HND Engineering Notes - Page 20


    Images_Ed_1994_Sandwell_College_BTEC_HND_Engineering/image021.jpg
    1994 Sandwell College BTEC HND Engineering Notes - Page 21


    Images_Ed_1994_Sandwell_College_BTEC_HND_Engineering/image022.jpg
    1994 Sandwell College BTEC HND Engineering Notes - Page 22


    Images_Ed_1994_Sandwell_College_BTEC_HND_Engineering/image023.jpg
    1994 Sandwell College BTEC HND Engineering Notes - Page 23


    Images_Ed_1994_Sandwell_College_BTEC_HND_Engineering/image024.jpg
    1994 Sandwell College BTEC HND Engineering Notes - Page 24


    Images_Ed_1994_Sandwell_College_BTEC_HND_Engineering/image025.jpg
    1994 Sandwell College BTEC HND Engineering Notes - Page 25


    Images_Ed_1994_Sandwell_College_BTEC_HND_Engineering/image026.jpg
    1994 Sandwell College BTEC HND Engineering Notes - Page 26


    Images_Ed_1994_Sandwell_College_BTEC_HND_Engineering/image027.jpg
    1994 Sandwell College BTEC HND Engineering Notes - Page 27


    Images_Ed_1994_Sandwell_College_BTEC_HND_Engineering/image028.jpg
    1994 Sandwell College BTEC HND Engineering Notes - Page 28


    Images_Ed_1994_Sandwell_College_BTEC_HND_Engineering/image029.jpg
    1994 Sandwell College BTEC HND Engineering Notes - Page 29


    Images_Ed_1994_Sandwell_College_BTEC_HND_Engineering/image030.jpg
    1994 Sandwell College BTEC HND Engineering Notes - Page 30


    Images_Ed_1994_Sandwell_College_BTEC_HND_Engineering/image031.jpg
    1994 Sandwell College BTEC HND Engineering Notes - Page 31


    Images_Ed_1994_Sandwell_College_BTEC_HND_Engineering/image032.jpg
    1994 Sandwell College BTEC HND Engineering Notes - Page 32


    Images_Ed_1994_Sandwell_College_BTEC_HND_Engineering/image033.jpg
    1994 Sandwell College BTEC HND Engineering Notes - Page 33


    Images_Ed_1994_Sandwell_College_BTEC_HND_Engineering/image034.jpg
    1994 Sandwell College BTEC HND Engineering Notes - Page 34


    Images_Ed_1994_Sandwell_College_BTEC_HND_Engineering/image035.jpg
    1994 Sandwell College BTEC HND Engineering Notes - Page 35


    Images_Ed_1994_Sandwell_College_BTEC_HND_Engineering/image036.jpg
    1994 Sandwell College BTEC HND Engineering Notes - Page 36


    Images_Ed_1994_Sandwell_College_BTEC_HND_Engineering/image037.jpg
    1994 Sandwell College BTEC HND Engineering Notes - Page 37


    Images_Ed_1994_Sandwell_College_BTEC_HND_Engineering/image038.jpg
    1994 Sandwell College BTEC HND Engineering Notes - Page 38


    Images_Ed_1994_Sandwell_College_BTEC_HND_Engineering/image039.jpg
    1994 Sandwell College BTEC HND Engineering Notes - Page 39


    Images_Ed_1994_Sandwell_College_BTEC_HND_Engineering/image040.jpg
    1994 Sandwell College BTEC HND Engineering Notes - Page 40


    Images_Ed_1994_Sandwell_College_BTEC_HND_Engineering/image041.jpg
    1994 Sandwell College BTEC HND Engineering Notes - Page 41


    Images_Ed_1994_Sandwell_College_BTEC_HND_Engineering/image042.jpg
    1994 Sandwell College BTEC HND Engineering Notes - Page 42


    Images_Ed_1994_Sandwell_College_BTEC_HND_Engineering/image043.jpg
    1994 Sandwell College BTEC HND Engineering Notes - Page 43


    Images_Ed_1994_Sandwell_College_BTEC_HND_Engineering/image044.jpg
    1994 Sandwell College BTEC HND Engineering Notes - Page 44


    Images_Ed_1994_Sandwell_College_BTEC_HND_Engineering/image045.jpg
    1994 Sandwell College BTEC HND Engineering Notes - Page 45


    Images_Ed_1994_Sandwell_College_BTEC_HND_Engineering/image046.jpg
    1994 Sandwell College BTEC HND Engineering Notes - Page 46


    Images_Ed_1994_Sandwell_College_BTEC_HND_Engineering/image047.jpg
    1994 Sandwell College BTEC HND Engineering Notes - Page 47


    Images_Ed_1994_Sandwell_College_BTEC_HND_Engineering/image048.jpg
    1994 Sandwell College BTEC HND Engineering Notes - Page 48


    Images_Ed_1994_Sandwell_College_BTEC_HND_Engineering/image049.jpg
    1994 Sandwell College BTEC HND Engineering Notes - Page 49


    Images_Ed_1994_Sandwell_College_BTEC_HND_Engineering/image050.jpg
    1994 Sandwell College BTEC HND Engineering Notes - Page 50


    Images_Ed_1994_Sandwell_College_BTEC_HND_Engineering/image051.jpg
    1994 Sandwell College BTEC HND Engineering Notes - Page 51


    Images_Ed_1994_Sandwell_College_BTEC_HND_Engineering/image052.jpg
    1994 Sandwell College BTEC HND Engineering Notes - Page 52


    Images_Ed_1994_Sandwell_College_BTEC_HND_Engineering/image053.jpg
    1994 Sandwell College BTEC HND Engineering Notes - Page 53


    Images_Ed_1994_Sandwell_College_BTEC_HND_Engineering/image054.jpg
    1994 Sandwell College BTEC HND Engineering Notes - Page 54


    Images_Ed_1994_Sandwell_College_BTEC_HND_Engineering/image055.jpg
    1994 Sandwell College BTEC HND Engineering Notes - Page 55


    Images_Ed_1994_Sandwell_College_BTEC_HND_Engineering/image056.jpg
    1994 Sandwell College BTEC HND Engineering Notes - Page 56


    Images_Ed_1994_Sandwell_College_BTEC_HND_Engineering/image057.jpg
    1994 Sandwell College BTEC HND Engineering Notes - Page 57


    Images_Ed_1994_Sandwell_College_BTEC_HND_Engineering/image058.jpg
    1994 Sandwell College BTEC HND Engineering Notes - Page 58


    Images_Ed_1994_Sandwell_College_BTEC_HND_Engineering/image059.jpg
    1994 Sandwell College BTEC HND Engineering Notes - Page 59


    Images_Ed_1994_Sandwell_College_BTEC_HND_Engineering/image060.jpg
    1994 Sandwell College BTEC HND Engineering Notes - Page 60


    Images_Ed_1994_Sandwell_College_BTEC_HND_Engineering/image061.jpg
    1994 Sandwell College BTEC HND Engineering Notes - Page 61


    Images_Ed_1994_Sandwell_College_BTEC_HND_Engineering/image062.jpg
    1994 Sandwell College BTEC HND Engineering Notes - Page 62


    Images_Ed_1994_Sandwell_College_BTEC_HND_Engineering/image063.jpg
    1994 Sandwell College BTEC HND Engineering Notes - Page 63

    Images_Learn/25_WTN_CAD_Transfer_Arm_and_Conveyor.jpg
    WTN CAD Transfer Arm and Conveyor

    Images_Ed_1994_Sandwell_College_BTEC_HND_Engineering/image064.jpg
    1994 Sandwell College BTEC HND Engineering Notes - Page 84


    Images_Ed_1994_Sandwell_College_BTEC_HND_Engineering/image065.jpg
    1994 Sandwell College BTEC HND Engineering Notes - Page 85


    Images_Ed_1994_Sandwell_College_BTEC_HND_Engineering/image066.jpg
    1994 Sandwell College BTEC HND Engineering Notes - Page 66


    Images_Ed_1994_Sandwell_College_BTEC_HND_Engineering/image067.jpg
    1994 Sandwell College BTEC HND Engineering Notes - Page 67


    Images_Ed_1994_Sandwell_College_BTEC_HND_Engineering/image068.jpg
    1994 Sandwell College BTEC HND Engineering Notes - Page 68


    Images_Ed_1994_Sandwell_College_BTEC_HND_Engineering/image069.jpg
    1994 Sandwell College BTEC HND Engineering Notes - Page 69


    Images_Ed_1994_Sandwell_College_BTEC_HND_Engineering/image070.jpg
    1994 Sandwell College BTEC HND Engineering Notes - Page 70


    Images_Ed_1994_Sandwell_College_BTEC_HND_Engineering/image071.jpg
    1994 Sandwell College BTEC HND Engineering Notes - Page 71


    Images_Ed_1994_Sandwell_College_BTEC_HND_Engineering/image072.jpg
    1994 Sandwell College BTEC HND Engineering Notes - Page 72


    Images_Ed_1994_Sandwell_College_BTEC_HND_Engineering/image073.jpg
    1994 Sandwell College BTEC HND Engineering Notes - Page 73


    Images_Ed_1994_Sandwell_College_BTEC_HND_Engineering/image074.jpg
    1994 Sandwell College BTEC HND Engineering Notes - Page 74


    Images_Ed_1994_Sandwell_College_BTEC_HND_Engineering/image075.jpg
    1994 Sandwell College BTEC HND Engineering Notes - Page 75


    Images_Ed_1994_Sandwell_College_BTEC_HND_Engineering/image076.jpg
    1994 Sandwell College BTEC HND Engineering Notes - Page 76


    Images_Ed_1994_Sandwell_College_BTEC_HND_Engineering/image077.jpg
    1994 Sandwell College BTEC HND Engineering Notes - Page 77


    Images_Ed_1994_Sandwell_College_BTEC_HND_Engineering/image078.jpg
    1994 Sandwell College BTEC HND Engineering Notes - Page 78


    Images_Ed_1994_Sandwell_College_BTEC_HND_Engineering/image079.jpg
    1994 Sandwell College BTEC HND Engineering Notes - Page 79


    Images_Ed_1994_Sandwell_College_BTEC_HND_Engineering/image080.jpg
    1994 Sandwell College BTEC HND Engineering Notes - Page 80


    Images_Ed_1994_Sandwell_College_BTEC_HND_Engineering/image081.jpg
    1994 Sandwell College BTEC HND Engineering Notes - Page 81


    Images_Ed_1994_Sandwell_College_BTEC_HND_Engineering/image082.jpg
    1994 Sandwell College BTEC HND Engineering Notes - Page 82


    Images_Ed_1994_Sandwell_College_BTEC_HND_Engineering/image083.jpg
    1994 Sandwell College BTEC HND Engineering Notes - Page 83


    Images_Ed_1994_Sandwell_College_BTEC_HND_Engineering/image084.jpg
    1994 Sandwell College BTEC HND Engineering Notes - Page 84


    Images_Ed_1994_Sandwell_College_BTEC_HND_Engineering/image085.jpg
    1994 Sandwell College BTEC HND Engineering Notes - Page 85


    Images_Ed_1994_Sandwell_College_BTEC_HND_Engineering/image086.jpg
    1994 Sandwell College BTEC HND Engineering Notes - Page 86


    Images_Ed_1994_Sandwell_College_BTEC_HND_Engineering/image087.jpg
    1994 Sandwell College BTEC HND Engineering Notes - Page 87


    Images_Ed_1994_Sandwell_College_BTEC_HND_Engineering/image088.jpg
    1994 Sandwell College BTEC HND Engineering Notes - Page 88


    Images_Ed_1994_Sandwell_College_BTEC_HND_Engineering/image089.jpg
    1994 Sandwell College BTEC HND Engineering Notes - Page 89


    Images_Ed_1994_Sandwell_College_BTEC_HND_Engineering/image090.jpg
    1994 Sandwell College BTEC HND Engineering Notes - Page 90


    Images_Ed_1994_Sandwell_College_BTEC_HND_Engineering/image091.jpg
    1994 Sandwell College BTEC HND Engineering Notes - Page 91


    Images_Ed_1994_Sandwell_College_BTEC_HND_Engineering/image092.jpg
    1994 Sandwell College BTEC HND Engineering Notes - Page 92


    Images_Ed_1994_Sandwell_College_BTEC_HND_Engineering/image093.jpg
    1994 Sandwell College BTEC HND Engineering Notes - Page 93


    Images_Ed_1994_Sandwell_College_BTEC_HND_Engineering/image094.jpg
    1994 Sandwell College BTEC HND Engineering Notes - Page 94


    Images_Ed_1994_Sandwell_College_BTEC_HND_Engineering/image095.jpg
    1994 Sandwell College BTEC HND Engineering Notes - Page 95


    Images_Ed_1994_Sandwell_College_BTEC_HND_Engineering/image096.jpg
    1994 Sandwell College BTEC HND Engineering Notes - Page 96


    Images_Ed_1994_Sandwell_College_BTEC_HND_Engineering/image097.jpg
    1994 Sandwell College BTEC HND Engineering Notes - Page 97


    Images_Ed_1994_Sandwell_College_BTEC_HND_Engineering/image098.jpg
    1994 Sandwell College BTEC HND Engineering Notes - Page 98


    Images_Ed_1994_Sandwell_College_BTEC_HND_Engineering/image099.jpg
    1994 Sandwell College BTEC HND Engineering Notes - Page 99


    Images_Ed_1994_Sandwell_College_BTEC_HND_Engineering/image100.jpg
    1994 Sandwell College BTEC HND Engineering Notes - Page 100


    Images_Ed_1994_Sandwell_College_BTEC_HND_Engineering/image101.png
    1994 Sandwell College BTEC HND Engineering Notes - Page 101


    Images_Ed_1994_Sandwell_College_BTEC_HND_Engineering/image102.png
    1994 Sandwell College BTEC HND Engineering Notes - Page 102


    Images_Ed_1994_Sandwell_College_BTEC_HND_Engineering/image103.png
    1994 Sandwell College BTEC HND Engineering Notes - Page 103


    Images_Ed_1994_Sandwell_College_BTEC_HND_Engineering/image104.png
    1994 Sandwell College BTEC HND Engineering Notes - Page 104


    Images_Ed_1994_Sandwell_College_BTEC_HND_Engineering/image105.png
    1994 Sandwell College BTEC HND Engineering Notes - Page 105


    Images_Ed_1994_Sandwell_College_BTEC_HND_Engineering/image106.png
    1994 Sandwell College BTEC HND Engineering Notes - Page 106


    Images_Ed_1994_Sandwell_College_BTEC_HND_Engineering/image107.jpg
    1994 Sandwell College BTEC HND Engineering Notes - Page 107


    Images_Ed_1994_Sandwell_College_BTEC_HND_Engineering/image108.png
    1994 Sandwell College BTEC HND Engineering Notes - Page 108


    Images_Ed_1994_Sandwell_College_BTEC_HND_Engineering/image109.png
    1994 Sandwell College BTEC HND Engineering Notes - Page 109


    Images_Ed_1994_Sandwell_College_BTEC_HND_Engineering/image110.png
    1994 Sandwell College BTEC HND Engineering Notes - Page 110


    Images_Ed_1994_Sandwell_College_BTEC_HND_Engineering/image111.png
    1994 Sandwell College BTEC HND Engineering Notes - Page 111


    Images_Ed_1994_Sandwell_College_BTEC_HND_Engineering/image112.jpg
    1994 Sandwell College BTEC HND Engineering Notes - Page 112


    Images_Ed_1994_Sandwell_College_BTEC_HND_Engineering/image113.jpg
    1994 Sandwell College BTEC HND Engineering Notes - Page 113


    Images_Ed_1994_Sandwell_College_BTEC_HND_Engineering/image114.jpg
    1994 Sandwell College BTEC HND Engineering Notes - Page 114

    Images Learn/25_WC_1994_P_Rivenberg_MP_McNally_MIT_Plasma_Science_Fusion_Center_Alcator.jpg
    WC 1994, Paul Rivenberg and Mary Pat McNally: Fusion Center Control Room

    Images_Ed_1994_Sandwell_College_BTEC_HND_Engineering/image115.jpg
    1994 Sandwell College BTEC HND Engineering Notes - Page 115


    Images_Ed_1994_Sandwell_College_BTEC_HND_Engineering/image116.jpg
    1994 Sandwell College BTEC HND Engineering Notes - Page 116


    Images_Ed_1994_Sandwell_College_BTEC_HND_Engineering/image117.jpg
    1994 Sandwell College BTEC HND Engineering Notes - Page 117


    Images_Ed_1994_Sandwell_College_BTEC_HND_Engineering/image118.jpg
    1994 Sandwell College BTEC HND Engineering Notes - Page 118


    Images_Ed_1994_Sandwell_College_BTEC_HND_Engineering/image119.jpg
    1994 Sandwell College BTEC HND Engineering Notes - Page 119

    Images_Learn/25_WTN_Transfer_Arm_Multi_Views.jpg
    WTN Transfer Arm Multi Views

    Images_Ed_1994_Sandwell_College_BTEC_HND_Engineering/image120.jpg
    1994 Sandwell College BTEC HND Engineering Notes - Page 120


    Images_Ed_1994_Sandwell_College_BTEC_HND_Engineering/image121.jpg
    1994 Sandwell College BTEC HND Engineering Notes - Page 121


    Images_Ed_1994_Sandwell_College_BTEC_HND_Engineering/image122.jpg
    1994 Sandwell College BTEC HND Engineering Notes - Page 122


    Images_Ed_1994_Sandwell_College_BTEC_HND_Engineering/image123.png
    1994 Sandwell College BTEC HND Engineering Notes - Page 123


    Images_Ed_1994_Sandwell_College_BTEC_HND_Engineering/image124.png
    1994 Sandwell College BTEC HND Engineering Notes - Page 124


    Images_Ed_1994_Sandwell_College_BTEC_HND_Engineering/image125.png
    1994 Sandwell College BTEC HND Engineering Notes - Page 125


    Images_Ed_1994_Sandwell_College_BTEC_HND_Engineering/image126.png
    1994 Sandwell College BTEC HND Engineering Notes - Page 126


    Images_Ed_1994_Sandwell_College_BTEC_HND_Engineering/image127.jpg
    1994 Sandwell College BTEC HND Engineering Notes - Page 127


    Images_Ed_1994_Sandwell_College_BTEC_HND_Engineering/image128.jpg
    1994 Sandwell College BTEC HND Engineering Notes - Page 128


    Images_Ed_1994_Sandwell_College_BTEC_HND_Engineering/image129.jpg
    1994 Sandwell College BTEC HND Engineering Notes - Page 129


    Images_Ed_1994_Sandwell_College_BTEC_HND_Engineering/image130.jpg
    1994 Sandwell College BTEC HND Engineering Notes - Page 130


    Images_Ed_1994_Sandwell_College_BTEC_HND_Engineering/image131.jpg
    1994 Sandwell College BTEC HND Engineering Notes - Page 131


    Images_Ed_1994_Sandwell_College_BTEC_HND_Engineering/image132.jpg
    1994 Sandwell College BTEC HND Engineering Notes - Page 132


    Images_Ed_1994_Sandwell_College_BTEC_HND_Engineering/image133.png
    1994 Sandwell College BTEC HND Engineering Notes - Page 133


    Images_Ed_1994_Sandwell_College_BTEC_HND_Engineering/image134.png
    1994 Sandwell College BTEC HND Engineering Notes - Page 134


    Images_Ed_1994_Sandwell_College_BTEC_HND_Engineering/image135.png
    1994 Sandwell College BTEC HND Engineering Notes - Page 135


    Images_Ed_1994_Sandwell_College_BTEC_HND_Engineering/image136.png
    1994 Sandwell College BTEC HND Engineering Notes - Page 136


    Images_Ed_1994_Sandwell_College_BTEC_HND_Engineering/image137.jpg
    1994 Sandwell College BTEC HND Engineering Notes - Page 137


    Images_Ed_1994_Sandwell_College_BTEC_HND_Engineering/image138.jpg
    1994 Sandwell College BTEC HND Engineering Notes - Page 138


    Images_Ed_1994_Sandwell_College_BTEC_HND_Engineering/image139.jpg
    1994 Sandwell College BTEC HND Engineering Notes - Page 139


    Images_Ed_1994_Sandwell_College_BTEC_HND_Engineering/image140.jpg
    1994 Sandwell College BTEC HND Engineering Notes - Page 140


    Images_Ed_1994_Sandwell_College_BTEC_HND_Engineering/image141.jpg
    1994 Sandwell College BTEC HND Engineering Notes - Page 141


    Images_Ed_1994_Sandwell_College_BTEC_HND_Engineering/image142.jpg
    1994 Sandwell College BTEC HND Engineering Notes - Page 142


    Images_Ed_1994_Sandwell_College_BTEC_HND_Engineering/image143.jpg
    1994 Sandwell College BTEC HND Engineering Notes - Page 143


    Images_Ed_1994_Sandwell_College_BTEC_HND_Engineering/image144.jpg
    1994 Sandwell College BTEC HND Engineering Notes - Page 144


    Images_Ed_1994_Sandwell_College_BTEC_HND_Engineering/image145.jpg
    1994 Sandwell College BTEC HND Engineering Notes - Page 145


    Images_Ed_1994_Sandwell_College_BTEC_HND_Engineering/image146.jpg
    1994 Sandwell College BTEC HND Engineering Notes - Page 146


    Images_Ed_1994_Sandwell_College_BTEC_HND_Engineering/image147.jpg
    1994 Sandwell College BTEC HND Engineering Notes - Page 147


    Images_Ed_1994_Sandwell_College_BTEC_HND_Engineering/image148.jpg
    1994 Sandwell College BTEC HND Engineering Notes - Page 148


    Images_Ed_1994_Sandwell_College_BTEC_HND_Engineering/image149.jpg
    1994 Sandwell College BTEC HND Engineering Notes - Page 149


    Images_Ed_1994_Sandwell_College_BTEC_HND_Engineering/image150.jpg
    1994 Sandwell College BTEC HND Engineering Notes - Page 150


    Images_Ed_1994_Sandwell_College_BTEC_HND_Engineering/image151.jpg
    1994 Sandwell College BTEC HND Engineering Notes - Page 151


    Images_Ed_1994_Sandwell_College_BTEC_HND_Engineering/image152.jpg
    1994 Sandwell College BTEC HND Engineering Notes - Page 152


    Images_Ed_1994_Sandwell_College_BTEC_HND_Engineering/image153.jpg
    1994 Sandwell College BTEC HND Engineering Notes - Page 153


    Images_Ed_1994_Sandwell_College_BTEC_HND_Engineering/image154.jpg
    1994 Sandwell College BTEC HND Engineering Notes - Page 154


    Images_Ed_1994_Sandwell_College_BTEC_HND_Engineering/image155.jpg
    1994 Sandwell College BTEC HND Engineering Notes - Page 155


    Images_Ed_1994_Sandwell_College_BTEC_HND_Engineering/image156.jpg
    1994 Sandwell College BTEC HND Engineering Notes - Page 156


    Images_Ed_1994_Sandwell_College_BTEC_HND_Engineering/image157.jpg
    1994 Sandwell College BTEC HND Engineering Notes - Page 157


    Images_Ed_1994_Sandwell_College_BTEC_HND_Engineering/image158.jpg
    1994 Sandwell College BTEC HND Engineering Notes - Page 158


    Images_Ed_1994_Sandwell_College_BTEC_HND_Engineering/image159.jpg
    1994 Sandwell College BTEC HND Engineering Notes - Page 159


    Images_Ed_1994_Sandwell_College_BTEC_HND_Engineering/image160.jpg
    1994 Sandwell College BTEC HND Engineering Notes - Page 160


    Images_Ed_1994_Sandwell_College_BTEC_HND_Engineering/image161.jpg
    1994 Sandwell College BTEC HND Engineering Notes - Page 161


    Images_Ed_1994_Sandwell_College_BTEC_HND_Engineering/image162.jpg
    1994 Sandwell College BTEC HND Engineering Notes - Page 162


    Images_Ed_1994_Sandwell_College_BTEC_HND_Engineering/image163.jpg
    1994 Sandwell College BTEC HND Engineering Notes - Page


    Images_Ed_1994_Sandwell_College_BTEC_HND_Engineering/image164.jpg
    1994 Sandwell College BTEC HND Engineering Notes - Page 164


    Images_Ed_1994_Sandwell_College_BTEC_HND_Engineering/image165.jpg
    1994 Sandwell College BTEC HND Engineering Notes - Page 165


    Images_Ed_1994_Sandwell_College_BTEC_HND_Engineering/image166.jpg
    1994 Sandwell College BTEC HND Engineering Notes - Page 166


    Images_Ed_1994_Sandwell_College_BTEC_HND_Engineering/image167.jpg
    1994 Sandwell College BTEC HND Engineering Notes - Page 167


    Images_Ed_1994_Sandwell_College_BTEC_HND_Engineering/image168.jpg
    1994 Sandwell College BTEC HND Engineering Notes - Page 168


    Images_Ed_1994_Sandwell_College_BTEC_HND_Engineering/image169.jpg
    1994 Sandwell College BTEC HND Engineering Notes - Page 169


    Images_Ed_1994_Sandwell_College_BTEC_HND_Engineering/image170.png
    1994 Sandwell College BTEC HND Engineering Notes - Page 170


    Images_Ed_1994_Sandwell_College_BTEC_HND_Engineering/image171.jpg
    1994 Sandwell College BTEC HND Engineering Notes - Page 171


    Images_Ed_1994_Sandwell_College_BTEC_HND_Engineering/image172.jpg
    1994 Sandwell College BTEC HND Engineering Notes - Page 172


    Images_Ed_1994_Sandwell_College_BTEC_HND_Engineering/image173.jpg
    1994 Sandwell College BTEC HND Engineering Notes - Page 173


    Images_Ed_1994_Sandwell_College_BTEC_HND_Engineering/image174.jpg
    1994 Sandwell College BTEC HND Engineering Notes - Page 174


    Images_Ed_1994_Sandwell_College_BTEC_HND_Engineering/image175.jpg
    1994 Sandwell College BTEC HND Engineering Notes - Page 175


    Images_Ed_1994_Sandwell_College_BTEC_HND_Engineering/image176.jpg
    1994 Sandwell College BTEC HND Engineering Notes - Page 176


    Images_Ed_1994_Sandwell_College_BTEC_HND_Engineering/image177.png
    1994 Sandwell College BTEC HND Engineering Notes - Page 177


    Images_Ed_1994_Sandwell_College_BTEC_HND_Engineering/image178.jpg
    1994 Sandwell College BTEC HND Engineering Notes - Page 178


    Images_Ed_1994_Sandwell_College_BTEC_HND_Engineering/image179.jpg
    1994 Sandwell College BTEC HND Engineering Notes - Page 179