Images_Index/WTN_HeaderX.png

Images Learn/26_WC1994_Ajay_Harish_Harmonic_Analysis_Impeller.jpg
WC 1994, Ajay B. Harish, Harmonic Analysis of Impeller
Images_Index/WTN_Icon_edited.png

Education 1994 Sandwell Col BTEC HND Engineering-2

I have included copies of my higher education notes on this website, that amount to ten years of my life approximately, for the following reasons. They prove that in a world of over population and hence competition, incomplete and out of date courses, the inablity to find out where the job vacancies are and then know how to apply for them, plus too much automation, education beyond the three R's is for most people a complete waste of time, money and effort. Only a technocracy, that is government by highly intelligent, qualified and trained technocrats, supported by artificial intelligence, can put this matter right, providing purpose, an identity, mental well being and hence loyalty to the state. Such a system can only come about through a technocracy. A world technocracy can lead to greater benefits, the obvious one being the directing of finance for war towards finance for scientific research.



  1. Education 1994 Sandwell College
    BTEC HND Engineering-2


  2. Index

    Page No. Subject
    2 Programmable Logic Controllers
    Assignment No.1 Determine Input Current & Counter
    3 Programmable Logic Controllers
    Assignment No.2 Hardware Range of Sizes
    11 Programmable Logic Controllers
    Assignment No.3 PID Control Simulation
    25 Programmable Logic Controllers
    Assignment No.4 Communication
    30 Programmable Logic Controllers
    Assignment No.5 Mimic Diagram
    33 SAIA-PMS Database Listing
    44 Programmable Logic Controllers
    Assignment No.6 PLC Process Control (practical)
    50 Multimedia
    Assignment No.1 Investigation Of Copyright Laws
    58 Multimedia
    Assignment No.2 Investigation of Graphic Images
    85 Multimedia
    Assignment No.3 Designing Navigation Icons
    70 Multimedia
    Assignment No.4 A Linear Multimedia Tutorial
    93 Mechanical Science 4
    Assignment No.1 Slider Quick Return Mechanism
    105 Mechanical Science 4
    Assignment No.2
    Belt Drive with Mathcad 5
    117 Mechanical Science 4
    Assignment No.4
    Beam Analysis
    121 DesignView Drawings
    128 Computer Aided Manufacturing
    Assignment E: Advantages of CAM System
    133 Automation Methodology
    Assignment No.1 Automatic Inspection
    137 Automation Methodology
    Assignment No.2 Numerically
    Controlled Machine Tools
    142 Direct Numerical Control
    155 Quality Assurance 4
    Assignment No.1 Statistical Process Control
    163 Quality Assurance 4
    Assignment No.2 Total Quality
    169 Metrology 4
    Assignment No.1
    172 Metrology 4
    Assignment No.2 Measure Taper
    & Ball Diameter
    174 Metrology 4
    Assignment No.3 Interferometry
    180 Industrial Studies
    Assignment No.1 Sole Trading & Partnerships
    182 Industrial Studies 4
    Assignment No.2 Organisational Structures
    186 Industrial Studies 4
    Assignment No.3 Personnel Management
    189 Cadtract advertisement
    (my company name when I was self employed)
    190 Industrial Studies 4
    Assignment No.4 Share Portfolio
    199 Industrial Studies 4
    Assignment No.5 Intellectual Property
    Patents & Copyright
    204 Software Design Methods
    Assignmant 1 Basic Programming
    209 Software Design Methods
    Assignment 2 INKEY$ Program
    213 Software Design Methods
    Assignment 3 Car Hire Program
    224 Software Design Methods
    Assignment 4 Temperature Conversion
    233 Software Design Methods
    Assignment 5 Sweden Wealth Per Capita
    235 Software Design Methods
    Assignment 6 Butterfly
    244 Software Design Methods
    Assignment 7 Video Database
    253 Animation & Graphics
    Assignment No.1 3 Dimensional Modelling
    256 Animation & Graphics
    Assignment No.2 Industry Leaders
    262 Project (module 15713H)
    3D CAD of Materials Handling Transfer Arm
    & Bill Of Materials
    276 Engineering Design 4 (module 13767V)
    Parameterisation
    281 Parameterised Drawings
    283 Parameterised Drawing of Pressure Vessel
    288 Computer Aided Drawing 3
    Serck Heat Exchanger
    290 Computer Aided Drawing 3
    CAD Exercise
    291 Computer Aided Drawing 3
    CAD Exercise
    292 Computer Aided Drawing 3
    CAD Exercise 3
    291 Computer Aided Drawing 3
    CAD Exercise: Desk
    294 Computer Aided Engineering 4
    Definition of Engineering Terms
    297 Computer Aided Engineering 4
    Implementation Plan for Upgrade of
    College Engineering Department
    305 Computer Aided Design 5 Finite Element Analysis
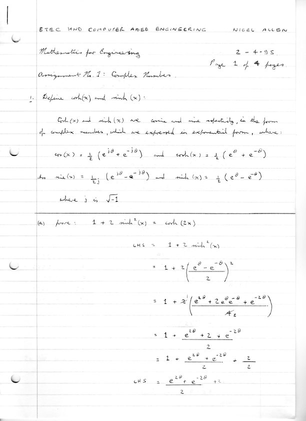
    313 BTEC Engineering Modules Completed by Nigel Allen
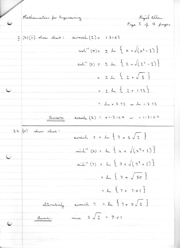
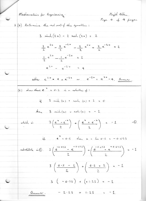
    313 Mathematics for Engineering 4
    324 Mathematics for Engineering 4
    Assignment 1 Complex Numbers
    331 Mathematics for Engineering 4
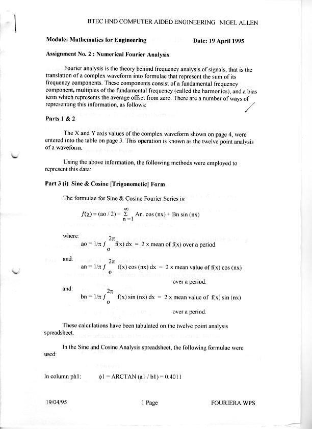
    Assignment 1: Numerical Fourier Analysis
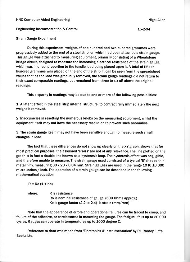
    350 Engineering Instrumentation & Control
    Assignment 1: Data Aquisition Systems
    355 Engineering Instrumentation & Control
    Assignment 1: Strain Gauge Experiment
    357 Engineering Instrumentation & Control
    Assignment 2:
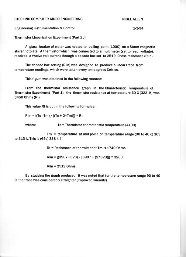
    Characteristic Temperature of Thermistor Pt.1
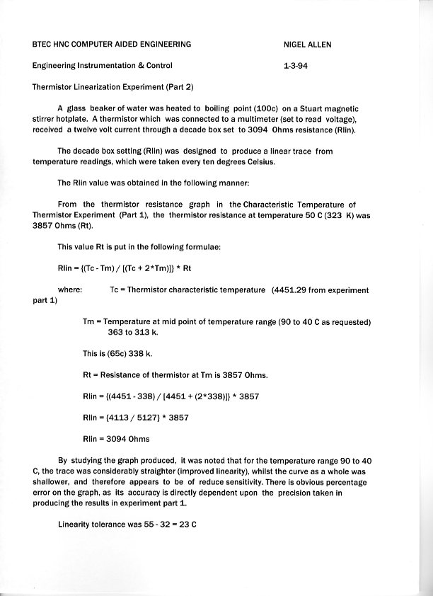
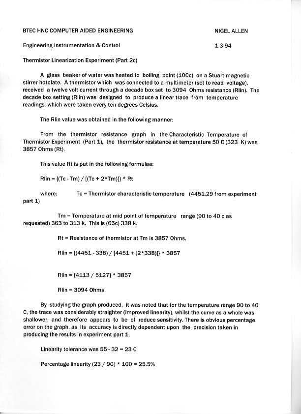
    Thermistor Linearization Experiment Pt.2
    364 Engineering Instrumentation & Control
    Assignment 1:
    Linear Variable Displacement Transformer Experiment


  3. Education 1994 Sandwell College
    BTEC HND Engineering-2 Notes



  4. Images_Ed_1994_Sandwell_College_BTEC_HND_Engineering/image180.png
    1994 Sandwell College BTEC HND Engineering Notes - Page 180


    Images_Ed_1994_Sandwell_College_BTEC_HND_Engineering/image181.jpg
    1994 Sandwell College BTEC HND Engineering Notes - Page 181


    Images_Ed_1994_Sandwell_College_BTEC_HND_Engineering/image182.jpg
    1994 Sandwell College BTEC HND Engineering Notes - Page 182


    Images_Ed_1994_Sandwell_College_BTEC_HND_Engineering/image183.jpg
    1994 Sandwell College BTEC HND Engineering Notes - Page 183


    Images_Ed_1994_Sandwell_College_BTEC_HND_Engineering/image184.jpg
    1994 Sandwell College BTEC HND Engineering Notes - Page 184


    Images_Ed_1994_Sandwell_College_BTEC_HND_Engineering/image185.jpg
    1994 Sandwell College BTEC HND Engineering Notes - Page 185


    Images_Ed_1994_Sandwell_College_BTEC_HND_Engineering/image186.jpg
    1994 Sandwell College BTEC HND Engineering Notes - Page 186


    Images_Ed_1994_Sandwell_College_BTEC_HND_Engineering/image187.jpg
    1994 Sandwell College BTEC HND Engineering Notes - Page 187


    Images_Ed_1994_Sandwell_College_BTEC_HND_Engineering/image188.jpg
    1994 Sandwell College BTEC HND Engineering Notes - Page 188


    Images_Ed_1994_Sandwell_College_BTEC_HND_Engineering/image189.jpg
    1994 Sandwell College BTEC HND Engineering Notes - Page 189


    Images_Ed_1994_Sandwell_College_BTEC_HND_Engineering/image190.jpg
    1994 Sandwell College BTEC HND Engineering Notes - Page 190


    Images_Ed_1994_Sandwell_College_BTEC_HND_Engineering/image191.jpg
    1994 Sandwell College BTEC HND Engineering Notes - Page 191


    Images_Ed_1994_Sandwell_College_BTEC_HND_Engineering/image192.jpg
    1994 Sandwell College BTEC HND Engineering Notes - Page 192


    Images_Ed_1994_Sandwell_College_BTEC_HND_Engineering/image193.jpg
    1994 Sandwell College BTEC HND Engineering Notes - Page 193


    Images_Ed_1994_Sandwell_College_BTEC_HND_Engineering/image194.jpg
    1994 Sandwell College BTEC HND Engineering Notes - Page 194


    Images_Ed_1994_Sandwell_College_BTEC_HND_Engineering/image195.jpg
    1994 Sandwell College BTEC HND Engineering Notes - Page 195


    Images_Ed_1994_Sandwell_College_BTEC_HND_Engineering/image196.jpg
    1994 Sandwell College BTEC HND Engineering Notes - Page 196


    Images_Ed_1994_Sandwell_College_BTEC_HND_Engineering/image197.jpg
    1994 Sandwell College BTEC HND Engineering Notes - Page 197


    Images_Ed_1994_Sandwell_College_BTEC_HND_Engineering/image198.jpg
    1994 Sandwell College BTEC HND Engineering Notes - Page 198


    Images_Ed_1994_Sandwell_College_BTEC_HND_Engineering/image199.jpg
    1994 Sandwell College BTEC HND Engineering Notes - Page 199


    Images_Ed_1994_Sandwell_College_BTEC_HND_Engineering/image200.jpg
    1994 Sandwell College BTEC HND Engineering Notes - Page 200


    Images_Ed_1994_Sandwell_College_BTEC_HND_Engineering/image201.jpg
    1994 Sandwell College BTEC HND Engineering Notes - Page 201


    Images_Ed_1994_Sandwell_College_BTEC_HND_Engineering/image202.jpg
    1994 Sandwell College BTEC HND Engineering Notes - Page 202


    Images_Ed_1994_Sandwell_College_BTEC_HND_Engineering/image203.jpg
    1994 Sandwell College BTEC HND Engineering Notes - Page 203


    Images_Ed_1994_Sandwell_College_BTEC_HND_Engineering/image204.jpg
    1994 Sandwell College BTEC HND Engineering Notes - Page 204


    Images_Ed_1994_Sandwell_College_BTEC_HND_Engineering/image205.jpg
    1994 Sandwell College BTEC HND Engineering Notes - Page 205


    Images_Ed_1994_Sandwell_College_BTEC_HND_Engineering/image206.jpg
    1994 Sandwell College BTEC HND Engineering Notes - Page 206


    Images_Ed_1994_Sandwell_College_BTEC_HND_Engineering/image207.jpg
    1994 Sandwell College BTEC HND Engineering Notes - Page 207


    Images_Ed_1994_Sandwell_College_BTEC_HND_Engineering/image208.jpg
    1994 Sandwell College BTEC HND Engineering Notes - Page 208


    Images_Ed_1994_Sandwell_College_BTEC_HND_Engineering/image209.jpg
    1994 Sandwell College BTEC HND Engineering Notes - Page 209


    Images_Ed_1994_Sandwell_College_BTEC_HND_Engineering/image210.jpg
    1994 Sandwell College BTEC HND Engineering Notes - Page 210


    Images_Ed_1994_Sandwell_College_BTEC_HND_Engineering/image211.jpg
    1994 Sandwell College BTEC HND Engineering Notes - Page 211


    Images_Ed_1994_Sandwell_College_BTEC_HND_Engineering/image212.jpg
    1994 Sandwell College BTEC HND Engineering Notes - Page 212


    Images_Ed_1994_Sandwell_College_BTEC_HND_Engineering/image213.jpg
    1994 Sandwell College BTEC HND Engineering Notes - Page 213


    Images_Ed_1994_Sandwell_College_BTEC_HND_Engineering/image214.jpg
    1994 Sandwell College BTEC HND Engineering Notes - Page 214

    Images Learn/26_WC_1994_Qw5646_Small_hole_drilling_EDM_machine.jpg
    WC 1994 Qw5646: Small hole drilling EDM machine

    Images_Ed_1994_Sandwell_College_BTEC_HND_Engineering/image215.jpg
    1994 Sandwell College BTEC HND Engineering Notes - Page 215


    Images_Ed_1994_Sandwell_College_BTEC_HND_Engineering/image216.jpg
    1994 Sandwell College BTEC HND Engineering Notes - Page 216


    Images_Ed_1994_Sandwell_College_BTEC_HND_Engineering/image217.jpg
    1994 Sandwell College BTEC HND Engineering Notes - Page 217


    Images_Ed_1994_Sandwell_College_BTEC_HND_Engineering/image218.jpg
    1994 Sandwell College BTEC HND Engineering Notes - Page 218


    Images_Ed_1994_Sandwell_College_BTEC_HND_Engineering/image219.jpg
    1994 Sandwell College BTEC HND Engineering Notes - Page 219


    Images_Ed_1994_Sandwell_College_BTEC_HND_Engineering/image220.jpg
    1994 Sandwell College BTEC HND Engineering Notes - Page 220


    Images_Ed_1994_Sandwell_College_BTEC_HND_Engineering/image221.jpg
    1994 Sandwell College BTEC HND Engineering Notes - Page 221


    Images_Ed_1994_Sandwell_College_BTEC_HND_Engineering/image222.jpg
    1994 Sandwell College BTEC HND Engineering Notes - Page 222


    Images_Ed_1994_Sandwell_College_BTEC_HND_Engineering/image223.jpg
    1994 Sandwell College BTEC HND Engineering Notes - Page 223


    Images_Ed_1994_Sandwell_College_BTEC_HND_Engineering/image224.jpg
    1994 Sandwell College BTEC HND Engineering Notes - Page 224


    Images_Ed_1994_Sandwell_College_BTEC_HND_Engineering/image225.jpg
    1994 Sandwell College BTEC HND Engineering Notes - Page 225


    Images_Ed_1994_Sandwell_College_BTEC_HND_Engineering/image226.jpg
    1994 Sandwell College BTEC HND Engineering Notes - Page 226


    Images_Ed_1994_Sandwell_College_BTEC_HND_Engineering/image227.jpg
    1994 Sandwell College BTEC HND Engineering Notes - Page 227


    Images_Ed_1994_Sandwell_College_BTEC_HND_Engineering/image228.jpg
    1994 Sandwell College BTEC HND Engineering Notes - Page 228


    Images_Ed_1994_Sandwell_College_BTEC_HND_Engineering/image229.jpg
    1994 Sandwell College BTEC HND Engineering Notes - Page 229


    Images_Ed_1994_Sandwell_College_BTEC_HND_Engineering/image230.jpg
    1994 Sandwell College BTEC HND Engineering Notes - Page 230


    Images_Ed_1994_Sandwell_College_BTEC_HND_Engineering/image231.jpg
    1994 Sandwell College BTEC HND Engineering Notes - Page 231


    Images_Ed_1994_Sandwell_College_BTEC_HND_Engineering/image232.jpg
    1994 Sandwell College BTEC HND Engineering Notes - Page 232


    Images_Ed_1994_Sandwell_College_BTEC_HND_Engineering/image233.jpg
    1994 Sandwell College BTEC HND Engineering Notes - Page 233


    Images_Ed_1994_Sandwell_College_BTEC_HND_Engineering/image234.jpg
    1994 Sandwell College BTEC HND Engineering Notes - Page 234


    Images_Ed_1994_Sandwell_College_BTEC_HND_Engineering/image235.jpg
    1994 Sandwell College BTEC HND Engineering Notes - Page 235


    Images_Ed_1994_Sandwell_College_BTEC_HND_Engineering/image236.jpg
    1994 Sandwell College BTEC HND Engineering Notes - Page 236


    Images_Ed_1994_Sandwell_College_BTEC_HND_Engineering/image237.jpg
    1994 Sandwell College BTEC HND Engineering Notes - Page 237


    Images_Ed_1994_Sandwell_College_BTEC_HND_Engineering/image238.jpg
    1994 Sandwell College BTEC HND Engineering Notes - Page 238


    Images_Ed_1994_Sandwell_College_BTEC_HND_Engineering/image239.jpg
    1994 Sandwell College BTEC HND Engineering Notes - Page 239


    Images_Ed_1994_Sandwell_College_BTEC_HND_Engineering/image240.jpg
    1994 Sandwell College BTEC HND Engineering Notes - Page 240


    Images_Ed_1994_Sandwell_College_BTEC_HND_Engineering/image241.jpg
    1994 Sandwell College BTEC HND Engineering Notes - Page 241


    Images_Ed_1994_Sandwell_College_BTEC_HND_Engineering/image242.jpg
    1994 Sandwell College BTEC HND Engineering Notes - Page 242


    Images_Ed_1994_Sandwell_College_BTEC_HND_Engineering/image243.jpg
    1994 Sandwell College BTEC HND Engineering Notes - Page 243


    Images_Ed_1994_Sandwell_College_BTEC_HND_Engineering/image244.jpg
    1994 Sandwell College BTEC HND Engineering Notes - Page 244


    Images_Ed_1994_Sandwell_College_BTEC_HND_Engineering/image245.jpg
    1994 Sandwell College BTEC HND Engineering Notes - Page 245


    Images_Ed_1994_Sandwell_College_BTEC_HND_Engineering/image246.jpg
    1994 Sandwell College BTEC HND Engineering Notes - Page 246


    Images_Ed_1994_Sandwell_College_BTEC_HND_Engineering/image247.jpg
    1994 Sandwell College BTEC HND Engineering Notes - Page 247


    Images_Ed_1994_Sandwell_College_BTEC_HND_Engineering/image248.jpg
    1994 Sandwell College BTEC HND Engineering Notes - Page 248


    Images_Ed_1994_Sandwell_College_BTEC_HND_Engineering/image249.jpg
    1994 Sandwell College BTEC HND Engineering Notes - Page 249


    Images_Ed_1994_Sandwell_College_BTEC_HND_Engineering/image250.jpg
    1994 Sandwell College BTEC HND Engineering Notes - Page 250


    Images_Ed_1994_Sandwell_College_BTEC_HND_Engineering/image251.jpg
    1994 Sandwell College BTEC HND Engineering Notes - Page 251


    Images_Ed_1994_Sandwell_College_BTEC_HND_Engineering/image252.jpg
    1994 Sandwell College BTEC HND Engineering Notes - Page 252


    Images_Ed_1994_Sandwell_College_BTEC_HND_Engineering/image253.jpg
    1994 Sandwell College BTEC HND Engineering Notes - Page 253


    Images_Ed_1994_Sandwell_College_BTEC_HND_Engineering/image254.jpg
    1994 Sandwell College BTEC HND Engineering Notes - Page 254


    Images_Ed_1994_Sandwell_College_BTEC_HND_Engineering/image255.jpg
    1994 Sandwell College BTEC HND Engineering Notes - Page 255


    Images_Ed_1994_Sandwell_College_BTEC_HND_Engineering/image256.jpg
    1994 Sandwell College BTEC HND Engineering Notes - Page 256


    Images_Ed_1994_Sandwell_College_BTEC_HND_Engineering/image257.jpg
    1994 Sandwell College BTEC HND Engineering Notes - Page 257


    Images_Ed_1994_Sandwell_College_BTEC_HND_Engineering/image258.jpg
    1994 Sandwell College BTEC HND Engineering Notes - Page 258


    Images_Ed_1994_Sandwell_College_BTEC_HND_Engineering/image259.jpg
    1994 Sandwell College BTEC HND Engineering Notes - Page 259


    Images_Ed_1994_Sandwell_College_BTEC_HND_Engineering/image260.jpg
    1994 Sandwell College BTEC HND Engineering Notes - Page


    Images_Ed_1994_Sandwell_College_BTEC_HND_Engineering/image261.jpg
    1994 Sandwell College BTEC HND Engineering Notes - Page 261


    Images_Ed_1994_Sandwell_College_BTEC_HND_Engineering/image262.jpg
    1994 Sandwell College BTEC HND Engineering Notes - Page 262


    Images_Ed_1994_Sandwell_College_BTEC_HND_Engineering/image263.jpg
    1994 Sandwell College BTEC HND Engineering Notes - Page 263


    Images_Ed_1994_Sandwell_College_BTEC_HND_Engineering/image264.jpg
    1994 Sandwell College BTEC HND Engineering Notes - Page 264


    Images_Ed_1994_Sandwell_College_BTEC_HND_Engineering/image265.jpg
    1994 Sandwell College BTEC HND Engineering Notes - Page 265


    Images_Ed_1994_Sandwell_College_BTEC_HND_Engineering/image266.jpg
    1994 Sandwell College BTEC HND Engineering Notes - Page 266


    Images_Ed_1994_Sandwell_College_BTEC_HND_Engineering/image267.jpg
    1994 Sandwell College BTEC HND Engineering Notes - Page 267


    Images_Ed_1994_Sandwell_College_BTEC_HND_Engineering/image268.jpg
    1994 Sandwell College BTEC HND Engineering Notes - Page 268


    Images_Ed_1994_Sandwell_College_BTEC_HND_Engineering/image269.jpg
    1994 Sandwell College BTEC HND Engineering Notes - Page 269


    Images_Ed_1994_Sandwell_College_BTEC_HND_Engineering/image270.jpg
    1994 Sandwell College BTEC HND Engineering Notes - Page 270


    Images_Ed_1994_Sandwell_College_BTEC_HND_Engineering/image271.jpg
    1994 Sandwell College BTEC HND Engineering Notes - Page 271


    Images_Ed_1994_Sandwell_College_BTEC_HND_Engineering/image272.jpg
    1994 Sandwell College BTEC HND Engineering Notes - Page 272


    Images_Ed_1994_Sandwell_College_BTEC_HND_Engineering/image273.jpg
    1994 Sandwell College BTEC HND Engineering Notes - Page 273


    Images_Ed_1994_Sandwell_College_BTEC_HND_Engineering/image274.jpg
    1994 Sandwell College BTEC HND Engineering Notes - Page 274


    Images_Ed_1994_Sandwell_College_BTEC_HND_Engineering/image275.jpg
    1994 Sandwell College BTEC HND Engineering Notes - Page 275


    Images_Ed_1994_Sandwell_College_BTEC_HND_Engineering/image276.jpg
    1994 Sandwell College BTEC HND Engineering Notes - Page 276


    Images_Ed_1994_Sandwell_College_BTEC_HND_Engineering/image277.jpg
    1994 Sandwell College BTEC HND Engineering Notes - Page 277


    Images_Ed_1994_Sandwell_College_BTEC_HND_Engineering/image278.jpg
    1994 Sandwell College BTEC HND Engineering Notes - Page 278


    Images_Ed_1994_Sandwell_College_BTEC_HND_Engineering/image279.jpg
    1994 Sandwell College BTEC HND Engineering Notes - Page 279


    Images_Ed_1994_Sandwell_College_BTEC_HND_Engineering/image280.jpg
    1994 Sandwell College BTEC HND Engineering Notes - Page 280


    Images_Ed_1994_Sandwell_College_BTEC_HND_Engineering/image281.jpg
    1994 Sandwell College BTEC HND Engineering Notes - Page 281


    Images_Ed_1994_Sandwell_College_BTEC_HND_Engineering/image282.jpg
    1994 Sandwell College BTEC HND Engineering Notes - Page 282


    Images_Ed_1994_Sandwell_College_BTEC_HND_Engineering/image283.jpg
    1994 Sandwell College BTEC HND Engineering Notes - Page 283


    Images_Ed_1994_Sandwell_College_BTEC_HND_Engineering/image284.jpg
    1994 Sandwell College BTEC HND Engineering Notes - Page 284

    Images Learn/26_WC_1994_DLR_CC-BY_3_Friction_Stir_Welder.jpg
    WC 1994, DLR (CC-BY 3.0), Friction Stir Welding

    Images_Ed_1994_Sandwell_College_BTEC_HND_Engineering/image285.jpg
    1994 Sandwell College BTEC HND Engineering Notes - Page 285


    Images_Ed_1994_Sandwell_College_BTEC_HND_Engineering/image286.jpg
    1994 Sandwell College BTEC HND Engineering Notes - Page 286


    Images_Ed_1994_Sandwell_College_BTEC_HND_Engineering/image287.jpg
    1994 Sandwell College BTEC HND Engineering Notes - Page 287


    Images_Ed_1994_Sandwell_College_BTEC_HND_Engineering/image288.jpg
    1994 Sandwell College BTEC HND Engineering Notes - Page 288


    Images_Ed_1994_Sandwell_College_BTEC_HND_Engineering/image289.jpg
    1994 Sandwell College BTEC HND Engineering Notes - Page 289


    Images_Ed_1994_Sandwell_College_BTEC_HND_Engineering/image290.jpg
    1994 Sandwell College BTEC HND Engineering Notes - Page 290


    Images_Ed_1994_Sandwell_College_BTEC_HND_Engineering/image291.jpg
    1994 Sandwell College BTEC HND Engineering Notes - Page 291


    Images_Ed_1994_Sandwell_College_BTEC_HND_Engineering/image292.jpg
    1994 Sandwell College BTEC HND Engineering Notes - Page 292


    Images_Ed_1994_Sandwell_College_BTEC_HND_Engineering/image293.jpg
    1994 Sandwell College BTEC HND Engineering Notes - Page 293


    Images_Ed_1994_Sandwell_College_BTEC_HND_Engineering/image294.jpg
    1994 Sandwell College BTEC HND Engineering Notes - Page 294


    Images_Ed_1994_Sandwell_College_BTEC_HND_Engineering/image295.jpg
    1994 Sandwell College BTEC HND Engineering Notes - Page 295


    Images_Ed_1994_Sandwell_College_BTEC_HND_Engineering/image296.jpg
    1994 Sandwell College BTEC HND Engineering Notes - Page 296


    Images_Ed_1994_Sandwell_College_BTEC_HND_Engineering/image297.jpg
    1994 Sandwell College BTEC HND Engineering Notes - Page 297


    Images_Ed_1994_Sandwell_College_BTEC_HND_Engineering/image298.jpg
    1994 Sandwell College BTEC HND Engineering Notes - Page 298


    Images_Ed_1994_Sandwell_College_BTEC_HND_Engineering/image299.jpg
    1994 Sandwell College BTEC HND Engineering Notes - Page 299


    Images_Ed_1994_Sandwell_College_BTEC_HND_Engineering/image300.jpg
    1994 Sandwell College BTEC HND Engineering Notes - Page 300


    Images_Ed_1994_Sandwell_College_BTEC_HND_Engineering/image301.jpg
    1994 Sandwell College BTEC HND Engineering Notes - Page 301


    Images_Ed_1994_Sandwell_College_BTEC_HND_Engineering/image302.jpg
    1994 Sandwell College BTEC HND Engineering Notes - Page 302


    Images_Ed_1994_Sandwell_College_BTEC_HND_Engineering/image303.jpg
    1994 Sandwell College BTEC HND Engineering Notes - Page 303


    Images_Ed_1994_Sandwell_College_BTEC_HND_Engineering/image304.jpg
    1994 Sandwell College BTEC HND Engineering Notes - Page 304


    Images_Ed_1994_Sandwell_College_BTEC_HND_Engineering/image305.jpg
    1994 Sandwell College BTEC HND Engineering Notes - Page 305


    Images_Ed_1994_Sandwell_College_BTEC_HND_Engineering/image306.jpg
    1994 Sandwell College BTEC HND Engineering Notes - Page 306


    Images_Ed_1994_Sandwell_College_BTEC_HND_Engineering/image307.jpg
    1994 Sandwell College BTEC HND Engineering Notes - Page 307


    Images_Ed_1994_Sandwell_College_BTEC_HND_Engineering/image308.jpg
    1994 Sandwell College BTEC HND Engineering Notes - Page 308


    Images_Ed_1994_Sandwell_College_BTEC_HND_Engineering/image309.jpg
    1994 Sandwell College BTEC HND Engineering Notes - Page 309


    Images_Ed_1994_Sandwell_College_BTEC_HND_Engineering/image310.jpg
    1994 Sandwell College BTEC HND Engineering Notes - Page 310


    Images_Ed_1994_Sandwell_College_BTEC_HND_Engineering/image311.jpg
    1994 Sandwell College BTEC HND Engineering Notes - Page 311


    Images_Ed_1994_Sandwell_College_BTEC_HND_Engineering/image312.jpg
    1994 Sandwell College BTEC HND Engineering Notes - Page 312


    Images_Ed_1994_Sandwell_College_BTEC_HND_Engineering/image313.jpg
    1994 Sandwell College BTEC HND Engineering Notes - Page 313


    Images_Ed_1994_Sandwell_College_BTEC_HND_Engineering/image314.jpg
    1994 Sandwell College BTEC HND Engineering Notes - Page 314


    Images_Ed_1994_Sandwell_College_BTEC_HND_Engineering/image315.jpg
    1994 Sandwell College BTEC HND Engineering Notes - Page 315


    Images_Ed_1994_Sandwell_College_BTEC_HND_Engineering/image316.jpg
    1994 Sandwell College BTEC HND Engineering Notes - Page 316


    Images_Ed_1994_Sandwell_College_BTEC_HND_Engineering/image317.jpg
    1994 Sandwell College BTEC HND Engineering Notes - Page 317


    Images_Ed_1994_Sandwell_College_BTEC_HND_Engineering/image318.jpg
    1994 Sandwell College BTEC HND Engineering Notes - Page 318


    Images_Ed_1994_Sandwell_College_BTEC_HND_Engineering/image319.jpg
    1994 Sandwell College BTEC HND Engineering Notes - Page 319


    Images_Ed_1994_Sandwell_College_BTEC_HND_Engineering/image320.jpg
    1994 Sandwell College BTEC HND Engineering Notes - Page 320


    Images_Ed_1994_Sandwell_College_BTEC_HND_Engineering/image321.jpg
    1994 Sandwell College BTEC HND Engineering Notes - Page 321


    Images_Ed_1994_Sandwell_College_BTEC_HND_Engineering/image322.jpg
    1994 Sandwell College BTEC HND Engineering Notes - Page 322


    Images_Ed_1994_Sandwell_College_BTEC_HND_Engineering/image323.jpg
    1994 Sandwell College BTEC HND Engineering Notes - Page 323

    Images Learn/26_WC_1996_Edver_Hybrid_PLC_intelligent_RTU.jpg
    WC 1996 Edver: Hybrid PLC Intelligent RTU

    Images_Ed_1994_Sandwell_College_BTEC_HND_Engineering/image324.jpg
    1994 Sandwell College BTEC HND Engineering Notes - Page 324


    Images_Ed_1994_Sandwell_College_BTEC_HND_Engineering/image325.jpg
    1994 Sandwell College BTEC HND Engineering Notes - Page 325


    Images_Ed_1994_Sandwell_College_BTEC_HND_Engineering/image326.jpg
    1994 Sandwell College BTEC HND Engineering Notes - Page 326


    Images_Ed_1994_Sandwell_College_BTEC_HND_Engineering/image327.jpg
    1994 Sandwell College BTEC HND Engineering Notes - Page 327


    Images_Ed_1994_Sandwell_College_BTEC_HND_Engineering/image328.jpg
    1994 Sandwell College BTEC HND Engineering Notes - Page 328


    Images_Ed_1994_Sandwell_College_BTEC_HND_Engineering/image329.jpg
    1994 Sandwell College BTEC HND Engineering Notes - Page 329


    Images_Ed_1994_Sandwell_College_BTEC_HND_Engineering/image330.jpg
    1994 Sandwell College BTEC HND Engineering Notes - Page 330


    Images_Ed_1994_Sandwell_College_BTEC_HND_Engineering/image331.jpg
    1994 Sandwell College BTEC HND Engineering Notes - Page 331


    Images_Ed_1994_Sandwell_College_BTEC_HND_Engineering/image332.jpg
    1994 Sandwell College BTEC HND Engineering Notes - Page 332


    Images_Ed_1994_Sandwell_College_BTEC_HND_Engineering/image333.jpg
    1994 Sandwell College BTEC HND Engineering Notes - Page 333


    Images_Ed_1994_Sandwell_College_BTEC_HND_Engineering/image334.jpg
    1994 Sandwell College BTEC HND Engineering Notes - Page 334


    Images_Ed_1994_Sandwell_College_BTEC_HND_Engineering/image335.jpg
    1994 Sandwell College BTEC HND Engineering Notes - Page 335


    Images_Ed_1994_Sandwell_College_BTEC_HND_Engineering/image336.jpg
    1994 Sandwell College BTEC HND Engineering Notes - Page 336


    Images_Ed_1994_Sandwell_College_BTEC_HND_Engineering/image337.jpg
    1994 Sandwell College BTEC HND Engineering Notes - Page 337


    Images_Ed_1994_Sandwell_College_BTEC_HND_Engineering/image338.jpg
    1994 Sandwell College BTEC HND Engineering Notes - Page 338


    Images_Ed_1994_Sandwell_College_BTEC_HND_Engineering/image339.jpg
    1994 Sandwell College BTEC HND Engineering Notes - Page 339


    Images_Ed_1994_Sandwell_College_BTEC_HND_Engineering/image340.jpg
    1994 Sandwell College BTEC HND Engineering Notes - Page 340


    Images_Ed_1994_Sandwell_College_BTEC_HND_Engineering/image341.jpg
    1994 Sandwell College BTEC HND Engineering Notes - Page 341


    Images_Ed_1994_Sandwell_College_BTEC_HND_Engineering/image342.jpg
    1994 Sandwell College BTEC HND Engineering Notes - Page 342


    Images_Ed_1994_Sandwell_College_BTEC_HND_Engineering/image343.jpg
    1994 Sandwell College BTEC HND Engineering Notes - Page 343


    Images_Ed_1994_Sandwell_College_BTEC_HND_Engineering/image344.jpg
    1994 Sandwell College BTEC HND Engineering Notes - Page 344


    Images_Ed_1994_Sandwell_College_BTEC_HND_Engineering/image345.jpg
    1994 Sandwell College BTEC HND Engineering Notes - Page 345


    Images_Ed_1994_Sandwell_College_BTEC_HND_Engineering/image346.jpg
    1994 Sandwell College BTEC HND Engineering Notes - Page 346


    Images_Ed_1994_Sandwell_College_BTEC_HND_Engineering/image347.jpg
    1994 Sandwell College BTEC HND Engineering Notes - Page 347


    Images_Ed_1994_Sandwell_College_BTEC_HND_Engineering/image348.jpg
    1994 Sandwell College BTEC HND Engineering Notes - Page 348


    Images_Ed_1994_Sandwell_College_BTEC_HND_Engineering/image349.jpg
    1994 Sandwell College BTEC HND Engineering Notes - Page 349


    Images_Ed_1994_Sandwell_College_BTEC_HND_Engineering/image350.jpg
    1994 Sandwell College BTEC HND Engineering Notes - Page 350


    Images_Ed_1994_Sandwell_College_BTEC_HND_Engineering/image351.jpg
    1994 Sandwell College BTEC HND Engineering Notes - Page 351


    Images_Ed_1994_Sandwell_College_BTEC_HND_Engineering/image352.jpg
    1994 Sandwell College BTEC HND Engineering Notes - Page 352


    Images_Ed_1994_Sandwell_College_BTEC_HND_Engineering/image353.jpg
    1994 Sandwell College BTEC HND Engineering Notes - Page 353


    Images_Ed_1994_Sandwell_College_BTEC_HND_Engineering/image354.jpg
    1994 Sandwell College BTEC HND Engineering Notes - Page 354


    Images_Ed_1994_Sandwell_College_BTEC_HND_Engineering/image355.jpg
    1994 Sandwell College BTEC HND Engineering Notes - Page 355


    Images_Ed_1994_Sandwell_College_BTEC_HND_Engineering/image356.jpg
    1994 Sandwell College BTEC HND Engineering Notes - Page 356


    Images_Ed_1994_Sandwell_College_BTEC_HND_Engineering/image357.jpg
    1994 Sandwell College BTEC HND Engineering Notes - Page 357


    Images_Ed_1994_Sandwell_College_BTEC_HND_Engineering/image358.jpg
    1994 Sandwell College BTEC HND Engineering Notes - Page 358


    Images_Ed_1994_Sandwell_College_BTEC_HND_Engineering/image359.jpg
    1994 Sandwell College BTEC HND Engineering Notes - Page 359


    Images_Ed_1994_Sandwell_College_BTEC_HND_Engineering/image360.jpg
    1994 Sandwell College BTEC HND Engineering Notes - Page 360


    Images_Ed_1994_Sandwell_College_BTEC_HND_Engineering/image361.jpg
    1994 Sandwell College BTEC HND Engineering Notes - Page 361


    Images_Ed_1994_Sandwell_College_BTEC_HND_Engineering/image362.jpg
    1994 Sandwell College BTEC HND Engineering Notes - Page 362


    Images_Ed_1994_Sandwell_College_BTEC_HND_Engineering/image363.jpg
    1994 Sandwell College BTEC HND Engineering Notes - Page 363


    Images_Ed_1994_Sandwell_College_BTEC_HND_Engineering/image364.jpg
    1994 Sandwell College BTEC HND Engineering Notes - Page 364


    Images_Ed_1994_Sandwell_College_BTEC_HND_Engineering/image365.jpg
    1994 Sandwell College BTEC HND Engineering Notes - Page 365